X2 Y2+z20

Creating 3 D Plots Matlab Simulink Example Mathworks India

3d Contour Plot Parts Of Sphere With Gradient Less Than 0 Equal To 0 And More Than 0 Mathematica Stack Exchange

Primery
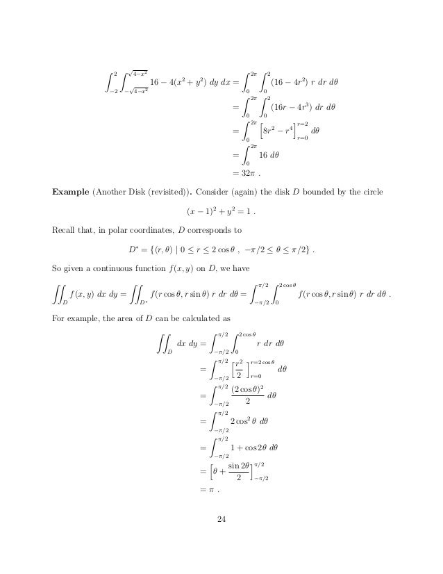
The Divergence Theorem

Under The Cone Z Sqrtx 2 Y 2 And Above The Disk X 2 Y 2 4 Youtube

How To Plot Z 5 Sqrt X 2 Y 2 0 Le Z Le 5 In Mathematica Mathematics Stack Exchange
If x = 10 and y is 4 (10 - 4) 2 = 10 2 - 2·10·4 + 4 2 = 100 - 80 + 16 = 36 The opposite is also true:.

X2 y2+z20. A theta surface in affine 3-space is the zero set of a Riemann theta function in genus 3. What is the graph of x^2-y^2 - z^2 =0?. Speci cally, its central.
Consequences of the above formulas:. The part of the paraboloid z = 9¡x2 ¡y2 that lies above the x¡y plane must satisfy z = 9¡x2 ¡y2 ‚ 0. This solid falls between the surface of revolution y = ln x and the surface of revolution.
(a) If f(x;y;z)=x2 +y2 +z2 then a normal of the surface x2 +y2 +z2 =9at(2;2;1) is given by the gradient rf(x;y;z)j (2;2;1) =(2xi+2yj+2zk)jfx=2;y=2;z=1g=4i+4j+2k:. 15.7) I Integration in spherical coordinates. Example 1 Evaluate the surface integral \(\iint\limits_S {{x^3}dydz + {y^3}dxdz }\) \(+{ {z^3}dxdy} ,\) where \(S\) is the surface of the sphere \({x^2} + {y^2} + {z.
(a) (15 pts) The part of the paraboloid z = 9 ¡ x2 ¡ y2 that lies above the x¡y plane. The cross section of this solid is shown on the right-hand side of the figure:. That implies it is 3-dimensional figure, and studying a little 3-d geometry we get that the equation for a sphere is (X−X0)^2+(Y−Y0)^2+(Z−Z0)^2=A^2 This gives a graph of a spehere of radius A and with.
SOLUTIONS TO ASSIGNMENT #10, Math 253 1. We only compute ¯z:. The statement of the theorem involves an integer exponent n larger than 2.
Bounded below by y = 0 and above by y = 1. Persamaan parametrik untuk garis tersebut adalah:. Wayne Wigfield, BS Mathematics.
Pada bidang 2 dimensi, suatu garis yang melalui titik (x 0, y 0) dan sejajar dengan vektor v = ai + bj dapat dinyatakan dengan persamaan vektor:Vektor v adalah vekor arah garis tersebut. Using chain rule for partial differentiation. Y = y 0 + bt.
1.Its graph is shown in Figure 1.23. "optimization problem", "objective function", "method of Lagrange multipliers. 'c':1 'd':0xb10 'e':0xb100 'f':0xb1000.
Problem 12E from Chapter 12.6:. The four space curves that generate such a double translation structure are. Thus x2 +y2 • 9.
Answer to Use traces to sketch and identify the surface.9x2 – y2 + z2 = 0. Use traces to sketch and identify the surface.9x2 − y2 + z2 = 0. X and y, 0 y z 0,(y b) z x z (x a) z Substituting for (x-a) and (y-b) f rom these in (i ), we get.
For math, science, nutrition, history. Rational Roots There is a formula for solving the general cubic equation a x 3 + b 2 c x + d = 0, that is more complicated than the qaudratic equation. Relation of isc (is 'c'):.
2.We illustrate –nding its traces by –nding the intersection of the ellipsoid. Differentiating the given relation partially (x-a)2 + (y-b)2 + z2 = k2 … Differentiating (i ) pa rtially w. Spherical coordinates in R3 Definition The spherical coordinates of a point P ∈ R3 is the ordered triple (ρ,φ,θ) defined by the picture.
For math, science, nutrition, history. Compute answers using Wolfram's breakthrough technology & knowledgebase, relied on by millions of students & professionals. Compute the total mass of the solid which is inside the sphere x2 + y2 + z2 = a2 and outside the sphere x2+y2+z2 = b2 if the density is given by ˆ(x;y;z)= c p x 2+ y + z Here a;b;care positive constants and 0 <b<a:.
Click below to download the free player from the Macromedia site. It has a distinctive "nose-cone" appearance. Compute answers using Wolfram's breakthrough technology & knowledgebase, relied on by millions of students & professionals.
To use the application, you need Flash Player 6 or 7. Actually we will take the normal to be n =2i+2j+k:The extra factor 2 is not needed. Fermat's Last Theorem is a theorem in number theory, originally stated by Pierre de Fermat in 1637 and proved by Andrew Wiles in 1995.
X=0 or y=0 or z=0 is equivalent to x*y*z = 0 x=1 or y=1 or z=1 is equivalent to (x-1)*(y-1)*(z-1)=0 x=2 or y=2 or z=2 is equivalent to (x-2)*(y-2)*(z-2)=0 Let's map to bits:. (b)Atwhatpoints(x;y;z) on the surface in part (a) are the tangent planes parallelto 2x+2y+ z=1?. Graphs plotted with 3D Grapher.
Integrals in cylindrical, spherical coordinates (Sect. A circle with a hole in the middle. Surfaces and Contour Plots Part 2:.
For math, science, nutrition, history. Find the area of the following surface. Quadric surfaces are the graphs of quadratic equations in three Cartesian variables in space.
How can we draw a graph of the function f(x) =-2x^2+4x?. F( x²+y², z−xy ) = 0. Stack Exchange network consists of 176 Q&A communities including Stack Overflow, the largest, most trusted online community for developers to learn, share their knowledge, and build their careers.
⁄ Example 1.13 Find the general solution of the PDE, ∂2f ∂x∂y = 2x, where f is a function of two independent variables x and y. Write as f( u, v ) = 0 where u = x² + y² and v = z − xy. X = x 0 + at.
We then convert the rectangular equation for a cone (x^2 + y^2 - z^2 = 0) into spherical coordinates. Solution The PDE can be expressed as. Download Flash Player 7.
By the symmetry principle, ¯x = ¯y = 0. ±4 ±2 0 2 4 x ±4 ±2 0 2 4 y ±4 ±2 0 2 4 Solution. What is the graph of (-2) ^x?.
The intersection gives 4 = x2 +y2.Therefore D is a disk of radius 2. Here you can find some graphs plotted with 3D Grapher. Cartesian Cylindrical Spherical Cylindrical Coordinates x = r cosθ r = √x2 + y2 y = r sinθ tan θ = y/x z = z z = z Spherical Coordinates.
Solution to Problem Set #9 1. A standalone application version of this 3-D Function Graphing Program, written in Flash Actionscript, much faster, essentially more capabilities, built-in function calculator and many more. Compute answers using Wolfram's breakthrough technology & knowledgebase, relied on by millions of students & professionals.
This is probably the simplest of all the quadric surfaces, and it's often the first one shown in class. Partial Differential Equations 675 and 22 2 0 yzz bcy ∂ += ∂⇒ c2y + b2zq = 0 …(3) Again differentiating (2) with respect to x, we have 2 2 22 2 2 0 zz ca az xx ∂∂ ++= ∂∂ On substituting. 高数问题 隐函数求导 设f可微,且方程y+z=xf(y^2-.
If a raised to x=b, b raised to y=c, c raised to z=a, then find the value of xyz. In the centuries following the initial statement of the result and before its general proof, various proofs were devised for particular values of the exponent n. 2 We can describe a point, P, in three different ways.
VECTORS AND THE GEOMETRY OF SPACE Example 1.6.1 Consider the ellipsoid x 2 4 + y2 9 + z 16 = 1. Sedangkan pada bidang 3 dimensi, suatu garis yang melalui titik (x 0, y 0, z 0) dan sejajar dengan vektor v = ai + bj + ck dapat. After completing the square, we can rewrite the equation as:.
25 + a + 4a 2 = 5 2 + 2·2·5 + (2a) 2 = (5 + 2a) 2. Compute answers using Wolfram's breakthrough technology & knowledgebase, relied on by millions of students & professionals. I Triple integral in spherical coordinates.
Thus the equation of the tangent plane to. As mentioned in the preceding section, all the properties of a double integral work well in triple integrals, whether in rectangular coordinates or cylindrical coordinates. Calculus, 7th + Maple Student Version 14.0 (7th Edition) Edit edition.
For math, science, nutrition, history. Let fᵤ = ∂f/∂u and fᵥ = ∂f/∂v. How do you sketch the graph of each function?.
We also write parametric equations in spherical coordinates for the cone and discuss the bounds. If xyz=0 then isc=1 else isc=0. Lie and Poincaré showed that any analytic surface that is the Minkowski sum of two space curves in two different ways is a theta surface.
I Spherical coordinates in space. 4(x 21)2 + (y + 5) + 16(z + 1)2 = 37 This is a hyperboloid of 1 sheet which has been shifted. How do I draw the graph of |y| = sin x?.
But in this example, we wish to prove there is no rational root to a particular cubic equation without have to look at the general cubic formula. Answered October 6, 15 · Upvoted by. These and many other graphs are included in the program package as examples.
As you can see this equation has 3 variables. The total mass is. 高等数学(1)证明方程sin z =(x^2)yz在点(0,.
Http Www Math Drexel Edu Classes Math0 1235 Resources Chapter11 Section7 Homework11 7 Ans Pdf

To Maximise The Objective Function Z X 2y Under The Constraints

The Tetrahedron Enclosed By The Coordinates Planes And The Plane 2x Y Z 4 How Do You Find The Volume Socratic

Surfaces

Q Tbn 3aand9gcslflhzpmt7hjrjbspvyuyw1 8kktprfveqna Usqp Cau

Tangent Plane To X 2 Xy Y 2 Z 0 Youtube

35 Reduce The Equation X 2 Y 2 Z 2 4x 2y 2z 4 0 To One Of The Standard Forms Classify The Surface And Sketch It Toughstem

Solved Let A Be Surface X 2 2 Y 2 Z 2 1 Parametris Chegg Com

Answered 0 Is Cnte Raph Costai Function 229en Bartleby

Solved Find The Surface Area Of The Part Of The Hemispher Chegg Com

Vectors Answers

The Surface X 2 Y 2 Z 2 2xy Z A Is Shown In The Case A 0 5 Download Scientific Diagram

Analytical Geometry Notes

Find The Shortest And Longest Distances From The Point P 5 2 3 To The Surface Of The Sphere X 2 Y 2 Z 2 2 X 2z 2 Homeworklib
Q Tbn 3aand9gcreo1trv6tz0xd4zhi0fmhrisihjilqgqflt2usxe068oz6xhlm Usqp Cau

If X 3 2 Y 5 2 Z 4 2 0 Then Find X 2 9 Y 2 25 Z 2 16 Brainly In

Surface Area

Wolfram Alpha Examples Step By Step Solutions

Surface Integrals

If X2 Y2 Z2 Xy Yz Xx O Prove That X Y Z Math Polynomials Meritnation Com

A Compute The Area Of The Portion Of The Cone Math X 2 Y 2 Z 2 Math With Math Z Geq 0 Math That Is Inside The Sphere Math X 2 Y 2 Z 2 2rz Math Where

Notes Up To Ch7 Sec3

Let F Cos Y 2 Z 2 I Sin Z 2 X 2 J E X 2 Y 2 K Be A Vectore Field On Mathbb R 3 Mathematics Stack Exchange

Solutions For Review Problems

Se11g01 02 Gif

11 1 Introduction To Cartesian Coordinates In Space Chapter 11 Vectors Part Calculus Iii

Notes Up To Ch7 Sec3

Answered If X 2 2 Y 3 2 Z 4 2 0 What Is The Bartleby

Solved Example 4 Find The Volume Of The Solid That Lies U Chegg Com

Level Surfaces

The Plane X 2y Z 4 Cuts The Sphere X2 Y2 Z2 X

Elliptic Paraboloid X 2 Y 2 Z 2 0 Download Scientific Diagram

X 2 Y 2 Z 2 4x 2z 3 0 Reduce The Equation To One Of The Standard Forms Classify The Surface Youtube

Solve System Of Linear Equations Using Matrix Method X Y Z 4 2x Y 3z 0 X Y Z 2 Mathematics Shaalaa Com

Analytical Geometry Notes
If X 2 Y 2 Z 2 2 X Y Z 3 What Is The Value Of 2x 3y 4z Quora

Convert A Rectangular Equation To A Spherical Equation X 2 Y 2 Z 2 9z 0 Youtube

Contourplot3d Wolfram Language Documentation

Solve The System Of Equations Re Z 2 0 Z 2
Http Www Math Drexel Edu Classes Calculus Resources Math0hw Homework11 7 Ans Pdf

Solved Find The Volume Of The Solid That Lies Under The P Chegg Com

Solved Consider The Equation Below X 2 2y 2z 2 0 R Chegg Com

Surfaces
If X 2 Y 2 Z 2 2xyz 1 Then Prove That Dx 1 X 2 Dy 1 Y 2 Dz 1 Z 2 0 Sarthaks Econnect Largest Online Education Community

15 5 Triple Integrals In Cylindrical And Spherical Coordinates Mathematics Libretexts

Convert A Rectangular Equation To A Spherical Equation X 2 Y 2 Z 2 0 Youtube

Solved Describe The Given Set In Spherical Coordinatees Chegg Com
Solved 28 Let W Be The Region Bounded By Y Z 2 2x Y X Chegg Com

John Lesieutre Multiplicities

Integr2
Q Tbn 3aand9gctkz76j2iwtb7wknyqeq1nfgwzal3cgzu5i8f 53axwud0f4hq1 Usqp Cau

1 X 2 Y 4 0 1 Y 1 Z 1 0 2 Z 3 X 14 Solve This Linear Equation In Three Variables Brainly In

2x 2 A 2 Y 2 B 2 Z 2 C 2 0 X 2 A 2 2y 2 B 2

Notes Up To Ch7 Sec3

Solutions To Chapter 15 Quiz

Sketch The Graphs Of The Following Equations A Y Z 2 0 B 2x 3y Z 5 C 4x 2 Frac Y 2 9 Z 2 1 D X 2 Frac Y 2 9
5 5 Triple Integrals In Cylindrical And Spherical Coordinates Calculus Volume 3 Openstax

Answered Find The Points On The Cone Z2 X2 Bartleby

If A 3 1 2 3 2 3 2 0 1 Find A 1 Hence Solve System Equations
Http Www Math Drexel Edu Classes Calculus Resources Math0hw Homework11 7 Ans Pdf

How To Plot X 2 Y 2 Z 2 Mathematics Stack Exchange

Vectors And The Geometry Of Space 9 Functions And Surfaces Ppt Download

A Swung Surface Y 2 X 4 Z 2 Y 2 0 Download Scientific Diagram

The Sum Of The Longest And Shortest Distances From The Point 1 2 1 To The Surface Of The Sphere X2 Y2 Z2 24 Is

Solve A System Of Non Linear Equation Docx

The Plane X 2 Y Z 4 Cuts The Sphere X 2 Y 2 Z 2 X Z 2 0 In A Circle Of Radius 3 3 2 05 4 Sqrt 2

Solve The Following Problems By Using Lagrange Multipliers A Find The Maximum And Minimum Values Of F X Y Z X 2 Homeworklib

If X2 Y2 Z2 Xy Yz Zx 0 Then Find X Y Z Brainly In

Calculus Iii Surface Integrals

Find The Area Of The Portion Of The Surface Of The Sphere X 2 Y 2 Z 2 4x That Is Cut Off By A Nappe Of The Cone Y 2 Z 2 X 2 Mathematics Stack Exchange
What Is The Equation Of Sphere Passing Through The Circle X 2 Y 2 Z 2 2x 3y 4z 6 0 And 3x 4y 5z 15 0 And Cuts The Sphere X 2 Y 2 Z 2 2x 4y 6z 11 0 Quora

Calculo Vectorial

Find Volume Inside The Cone Z 2a Sqrt X 2 Y 2 And Inside The Cylinder X 2 Y 2 2ay Mathematics Stack Exchange

Solved Consider The Equation Below X 2 Y 2 Z 2 2x Chegg Com

Surfaces Part 2

View Question If X Y Z 1 And X 2 Y 2 Z 2 3 Then Find The Value Of Xy Xz Yz

Solved Consider The Level Surface Given By X 2 Y 2 Z Chegg Com

Match The Equation To The Surface A Paraboloid B Cone C Sphere D Hyperboloid E Cylinder F Ellipsoid G Hyperbolic Paraboloid 1 6x 2 4y 2 2z 0 2 10x 2 6y 2 7z 0 3 8x 2 2 Study Com

L 2 X S 1 Y S Z 4s Suppose That C Has Coordinates X Y Z Then From The Vector Equality Ac One Has Pdf Free Download

Analytical Geometry Notes

Find The Area Of The Surface The Part Of The Sur
Solve System Of Linear Equations Using Matrix Method X Y Z 4 2x Y 3z 0 X Y Z 2 Sarthaks Econnect Largest Online Education Community
Http Macs Citadel Edu Zhangli Courses Taught Fall16 Courses Math231 Quiz15 Key Pdf
Q Tbn 3aand9gcthbf0qy3qduzhnps Vatvxgtfvjok6bpyvcxsqoq 5lroszsuc Usqp Cau

The Given Two Spheres X2 Y2 Z2 64 X2 Y2 Z2 12x 4y 6z 48 0

Answers For Assignment 8

If X2 Y2 Z2 2 X Y Z 3 Find The Value Of 2x 3y 4z Brainly In

F X Y Z Yj Zk S Consists Of The Paraboloid Y X 2 Z 2 0 Y 1 And The Disk X 2 Z 2 1 Y 1 Homework Help And Answers Slader

Regionplot3d In Cylindrical Or Spherical Coordinates

35 Reduce The Equation X 2 Y 2 Z 2 4x 2y 2z 4 0 To One Of The Standard Forms Classify The Surface And Sketch It Toughstem

Rendering Implicit Surfaces And Distance Fields Sphere Tracing Maths Behind Sphere Tracing

Solved Find The Volume Of The Solid That Lies Within The Sphere X 2 Y 2 Z 2 36 Above The Xy Plane And Below The Cone Z Sqrt X 2 Y 2 Study Com

If Math X Y Z 0 Math What Is The Value Of Math Frac X 2 Yz Frac Y 2 Zx Frac Z 2 Xy Math Quora

Find The Volume Of The Solid Bounded By X 0 Y Chegg Com

Calc 501 1000 By James Bardo Issuu
Q Tbn 3aand9gcq1no8edrxotmqqqvhgf Vzqtnheexe S1xdhvwhboy4pfzvngc Usqp Cau

Surface Integrals
The Divergence Theorem Page 2