12x+5 13x 24

Class 9 Polynomial 2 Coordinate Geometry Linear Equation In Two Variables Euclid S Geometry Lines And Angles Notes

Vectors And The Geometry Of Space Monografias Com
2

Example 18 Solve 5 X 1 1 Y 2 2 6 X 1 3 Y 2 1 Examples

Wolfram Alpha Examples Step By Step Solutions

These Are Answers1 K 32 X 4 Y 13 X 3 Y 04 P 9 7 Q 8 75 X 1 Y 16 X 2 Y 17 X 1 Y 18 Brainly In
Find and classify the extreme values, determine where the function is increasing and decreasing, where it is concave up and concave down, and any points.

12x+5 13x 24. X = {4.110, -5.110}. X^2+x+4 = 5^2 x^2+x+4 = 25 x^2+x-21 = 0 Since we can't factor, we must use the quadratic equation. 1/x+5+2=5/x+5 My answer is:.
We call a a discontinuity of f. X - 4 = 1 now add 4 on both sides. Often, an equation can look difficult to solve, but it can often be quite simple if you can see how to reduce it.
X^4-5x^2+4=0 \sqrt{x-1}-x=-7 \left|3x+1\right|=4 \log _2(x+1)=\log _3(27) 3^x=9^{x+5} equation-calculator. Multiply (x-4)(x+5) Expand using the FOIL Method. X + 2 ( -2 ) = 1 multiply 2 with -2.
The base of the logarithm is 10. 1) 5-(x+5)= 5-x-5= x. Escribir dos numeros enteros comprendidos entre -3 y 0 En un triángulo ABC se trazan la mediana AM y la altura BH, de modo que BH = y AB = 29.
Upload 9/4 to the two aspects) x^2 + 3x + 9/4 = a million + 9/4 x^2 + 3x + 9/4 = 4/4 + 9/4 x^2 + 3x + 9/4 = 13/4 (element left area) (x + 3/2)^2 = 13/4 (sq. {eq}\int \frac{dx}{x+5} {/eq} Integration Using Method of Substitution:. Move to the left of.
Find two factors of 4 whose sum equals the coefficient of the middle term, which is -5. I came up with x=-14, x=-4 but i also got x=-5+9i. Asking to solve g(x) <0 means that the quotient has to be negative.
Which is your answer for " x " So your answer is x = 5 and. Lim(3x – 5) = 7 X+4. F is discontinuous at x = a if lim x!a f(x) 6= f(a), or does not exist:.
For an arbitrary continuous or piecewise continuous function (arbitrary in the. Y=x^2+12x=4 (Please show your work to show me the steps to get to the right answer.) 2. The middle term is, -5x its coefficient is -5.
2.5 Continuity Continuous functions behave nicely when taking limits. Solving an integration sometimes can be difficult due to some unknown forms. Partial Fractions Calculator - find the partial fractions of a fractions step-by-step.
To ask Unlimited Maths doubts download Doubtnut from - https://goo.gl/9WZjCW Using Cramer's rule solve `1/x+1/y+1/z=1 , 2/x+5/y+3/z=0 , 1/x+2/y+4/z=3`. X/6 Can someone verify if. Apply the distributive property.
Add your answer and earn points. Which best describes the reasonableness of the student's solution?. I am confused which answer i should have.
Simple and best practice solution for 2+(x+5)(3x-4)=(3x+2)(x-1)+4x equation. The value of x has to be determined given that log(2x) + log(x+5) = 2. Quality Park Clasp & Moistenable Glue Catalog Envelopes, 8.75" x 11.5", Brown Kraft, 100/Box (QUA).
3x = 18 Step 5:. So let's take a general linea. Thank you for your help Answer by RedemptiveMath(80) (Show Source):.
Lim(2x – 9) = 3 x+6 4. Apply the distributive property. X^2 + 3x - a million = 0 (upload a million to the two aspects) x^2 + 3x = a million (take a million/2 of three, that's 3/2, and sq.
1/x+6-1/x-6 My answer is:. So let's consider a linear function and a proof. Related Symbolab blog posts.
Calcula el área de la región triangular AMH. Use the quadratic formula to solve the equation. Next, you have to substitute the x, so lets say 2, since its a simple number.
Let start solving separately the two simple inequalities (x-2)>0 and (x+4)>0. For {eq}f(x)=2(x+5)^3 +7 {/eq}. Y = 13x.
Solved by pluggable solver:. The answer is 0 since 1/x+1/x+6=1/x+1/x+6 then every term wud be cancelled and answer wud be 0ZERO. Our solution is simple, and easy to understand, so don`t hesitate to use it as a solution of your homework.
(8/X+2)=(2/X-4) His solution is as follows:. X^2-7x-6=0 (Please show your work to show me the. Solution for x+5 x.
Ln x + ln(x + 2) = 4. Express your answer in simplest form. Tiger Algebra gives you not only the answers, but also the complete step by step method for solving your equations 1/2x+2(x+5)=-4(1+x)+1 so that you understand better.
Multiply the coefficient of the first term by the constant 1 • 4 = 4 Step-2 :. Check how easy it is, and learn it for the future. Check how easy it is, and learn it for the future.
You should derive this function to know its variations and then build the variations table. X = (-5 + ((-5)^2 -4*1*(-21))^(1/2) ) / 2. Which gives you x^2 + 8x + 5x + 40 = x^2+13x+40 For 2,4 look at the order of the each term, and try to factor that out first, then look at the variables exponent and factor those out.
Tap for more steps. The second negative solution cannot exist if the logarithms log5(x+4) or log5(x+1) are real numbers, since the logarithm of a negative number does not exist and the brackets x+4 or x+1 would be negative numbers. 13x/30-4x/15 My answer is:.
By adding, you should get. Without the period, the code is attempting to solve the system of linear equations yA = B, where (in your case) B is the row vector (x+5).^3 and A is the row vector x.^2. (v) True, because in this case discriminant.
A common example, a quartic of the form a x 4 + b x 2 + c = 0, ax^4 + bx^2 + c = 0, a x 4 + b x 2 + c = 0, can be made much simpler by the substitution u = x 2. Y = -13x - 2. 4x - 16 = x + 2 Step 4:.
Simplify and combine like terms. Escribir dos numeros enteros comprendidos en -7 y -4 María sale en su auto y se dirige al trabajo recorriendo 32 km en un tiempo total de 0,5 h. Lim (x2-9(x2+ 1)2 4.
The logarithm of a number x to base b is defined such that if log_b x = y, x = b^y. To find the roots of a polynomial of the form ax^2+bx+c we use the quadratic formula, where in this case a=1, b=-1 and c=5. Two-sided Linear Inequalities on Brilliant, the largest community of math and science problem solvers.
For functions satisfying Conditions 1 and 2, the integral may be interpreted as an area. Simple and best practice solution for (x+1)(x+2)(x+4)(x+5)=40 equation. 4(x - 4) = (x + 2) Step 3:.
Solve the quadratic equation x^2-x+5=0. It depends if it the function you consider is nonlinear, where the slope/deravitive is varying depending on mathx/math, or linear, where the slope is some constant. $\begingroup$ $(x-1) (x+1) \left(2 x^2+x-5\right)$ $\endgroup$ – David G.
Welcome to our new "Getting Started" math solutions series. Apply the distributive property. Browse 8+1+2+x+5+1+2+envelope on sale, by desired features, or by customer ratings.
Browse 3+x+5+index+cards on sale, by desired features, or by customer ratings. Example 21 Find the domain of the function "f" (x) = (" " 2 + 3 + 5)/( 2 5 + 4) "f" (x) = (" " x2 + 3x + 5)/(x2 5x + 4) = (x2 + 3x + 5)/(x2 4x + 4) = (x2 + 3x +5)/( (x 4) 1( 4)) = (x2 + 3x + 5)/(( 4)(x 1) ) In real numbers , the denominator cannot be zero Hence (x 4) (x 1) 0 x 4 and x 1 Hence the domain of the function will be all real numbers except 1 and 4 Hence, the domain = R. 1.What is the vertex from the equation?.
(x + 1/2)² − (9/2)² is not considered simplified, the "simplify" refers to collecting like terms that turns x² − 4x + 5x − into x² + x − Log in to reply to the answers Post Como. This rational function is not defined for x= -2, x=-4 and x=-7 and will go infinite for this 3 values. Doing so will yield:.
Free math problem solver answers your algebra, geometry, trigonometry, calculus, and statistics homework questions with step-by-step explanations, just like a math tutor. 1.1 Factoring x 2-5x+4 The first term is, x 2 its coefficient is 1. F is continuous at x = a if lim x!a f(x) = f(a).
X = 6 He determines that 6 is an extraneous solution because the difference of the numerators is 6, so the 6s cancel to 0. Over the next few weeks, we'll be showing. A box with an open-top has a square base and four sides of equal height.
Y = ((x+5).^3)./(x.^2) much like what you are already doing for the exponents of 3 and 2. Our solution is simple, and easy to understand, so don`t hesitate to use it as a solution of your homework. Then substitute the values of the coefficients of the equation in the quadratic formula:.
As shown in Figure 3, this is the area of a triangle whose base and height are each 1, and since area = 1/2*(base)*(height), we see that:. To obtain the two solutions, divide the. X^{2} - (x+1)^{2} = 5.
Quadratic equation (in our case ) has the following solutons:. Lim (x-2- 2 ( x2-16) 8. Lim (x -3)N4-x( x2-9)4.
6 x^3 y^2 + 3 x y^4 x,2,3 y,5,6 9934. The last term, "the constant", is +4 Step-1 :. So, in this way we know that the numerator is positive when x is greater than 2 while the denominator is positive when x is greater than -4.
Asked by Need Help on July 12, 07;. Stork Jan 11 '19 at 0:30 add a comment | 4 Answers 4. By multiplying, you should get.
Root the two aspects) x + 3/2 = ±?(13)/2 (subtract 3/2 from the two aspects) x = -3/2 ± ?(13. So the problem simplified and distributed would be x> -2x-8. X / (x+5)^(1/2) - sqrt(x+5) x / sqrt(x+5) - sqrt(x+5) x / sqrt(x+5) - (x+5) / sqrt(x+5) (x - x - 5) / sqrt(x+5).
4 years ago When we add or substract polymonials with same degree , actually the cooefficient are added or substracted.Therefore, (1/4 -3/4) x^4 + 7/9 x^3+ ( 3/8 + 5/8) x^2 + (4-4) or -1/2 x^4 + 7/9 x^3 + x^2 , That's the Answer. (iv) True, because every quadratic polynomial has almost two roots. U = x 2.
Find an equation for a line that has a slope of -13 and contains (-7, 2) Answer choices 1. X*(x+5)^(-1/2) - sqrt(x+5) SIMPLIFY:. Tap for more steps.
Asked by Sam on November 27, 18;. Lim f(x) = 4, where x+5 S 2x – 6 if x < 5 -4x + 24 if x > 5 3. What is the final simplified problem?.
Middle School Math Solutions – Equation Calculator. 2(x+5) - corazonborja92 is waiting for your help. Tap for more steps.
For example, a quadratic equation x 2 – 4x + 4 = 0 has only one root which is 2. X = (-5 - ((-5)^2 -4*1*(-21))^(1/2) ) / 2. 8(x - 4) = 2(x + 2) Step 2:.
What Is The Sum Of 1 2x 3x 2 Nx N 1 Quora
Solve The Given Inequality For Real X 2x 1 3 3x 2 4 2 X 5 Sarthaks Econnect Largest Online Education Community
Secure Media Collegeboard Org Digitalservices Pdf Ap Apcentral Ap15 Calculus Ab Q5 Pdf
Solved Find The Value Of X In Each Of The Following X 1 Chegg Com
Www Deerfield K12 Wi Us Faculty Polzinr Cms Files Assignment Attach 330 Final review key Pdf

Lesson 1 1 Pages 5 11 State The Domain And Range Of Each Relation Then State Whether The Relation Is A Function Write Yes Or No Pdf Free Download

Solutions Manual For Calculus For Business Economics And The Social A

اسئلة محلولة عن الدوال والنهايات

Rd Sharma Solutions For Class 10 Chapter 8 Quadratic Equations Exercise 8 6 Avail Pdf
F X 3x 2 X 4 2x 2 5x F X X 2 4x 3 Chegg Com

Warm Up 9 Ch 6 Solve For X 1 X 3 X 5 0 2 2x 4 X 0 3 X 2 4x 3 0 4 X 2 6x 9 0 5 9x 2 16 0 X 3 Or 5 X 0 Or 2 X 1 Or Ppt Download

Ques No 39 X 1 2 3x 1 3 4 29 34 X L 4xa 1 2 3 23 X 1 2 Math Quadratic Equations Meritnation Com

Solve The Linear Equation 1 2 X 1 1 3 X 1 5 12 X 2 Brainly In
Solved 1 10 Y 2 5 1 5 Y 3 10 X 3 5 2 X 5 Chegg Com
Www Studocu Com En Us Document University Of Redlands Calculus 1 Past Exams Quiz 4 Autumn 18 Answers View
How Can One Solve The Following By Using The Method Of Factorization Math Frac 4 X 3 Frac 5 2x 3 Math Where Math X Neq 3 Math And Math X Neq Frac 3 2 Math Quora

Instantcert Credit College Algebra Lesson 22

Ex 6 1 12 Solve 1 2 3x 5 4 1 3 X 6 Cbse Ex 6 1

Solve The Following Equations 1 5 2911 7x 1113 30 4 3 18 6x 45
If P X X2 4x 3 Then Evaluate P 2 P 1 P 1 2 Studyrankersonline

Add Or Subtract Fractions With Step By Step Math Problem Solver

Solving Polynomial Equations Answers

Find The Square Root Of X 2 9 9 4x 2 X 3 3
Solved In Each Of Problems 1 4 Find The General Solution Chegg Com
R D Sharma Solutions Class 10th Ch 3 Pair Of Linear Equations In Two Variables Exercise 3 3

How Do You Graph 3x 4 5x 3 X 2 5x 2 By Finding All Of Its Roots Socratic

Rd Sharma Solutions Class 9 Math Chapter 2 Exponents Of Real Numbers Exercise 2 2

Integrate X 3 2x 2 X 1 X 4 5x 2 4 Dx Youtube

Ex 6 1 16 Solve 2x 1 3 3x 2 4 2 X 5
Http Www Cdschools Org Cms Lib04 Pa Centricity Domain 213 1 2 seg add ws answers Pdf

Solve For X X 1 3 4 X 1 1 2 Brainly In

Mathematics 8 Systems Of Linear Inequalities

Example 18 Solve 5 X 1 1 Y 2 2 6 X 1 3 Y 2 1 Examples
How To Solve The Equation 2 3x X 8 Tessshebaylo

Complex Rational Expressions

Ppt Warm Up 4 22 09 Solve Each Equation 1 3 X 5 17 2 4 X 1 2 X 3 3 Powerpoint Presentation Id

Solve The Given Inequality For Real X 2x 1 3 3x 2 4 2 X 5 Mathematics Shaalaa Com

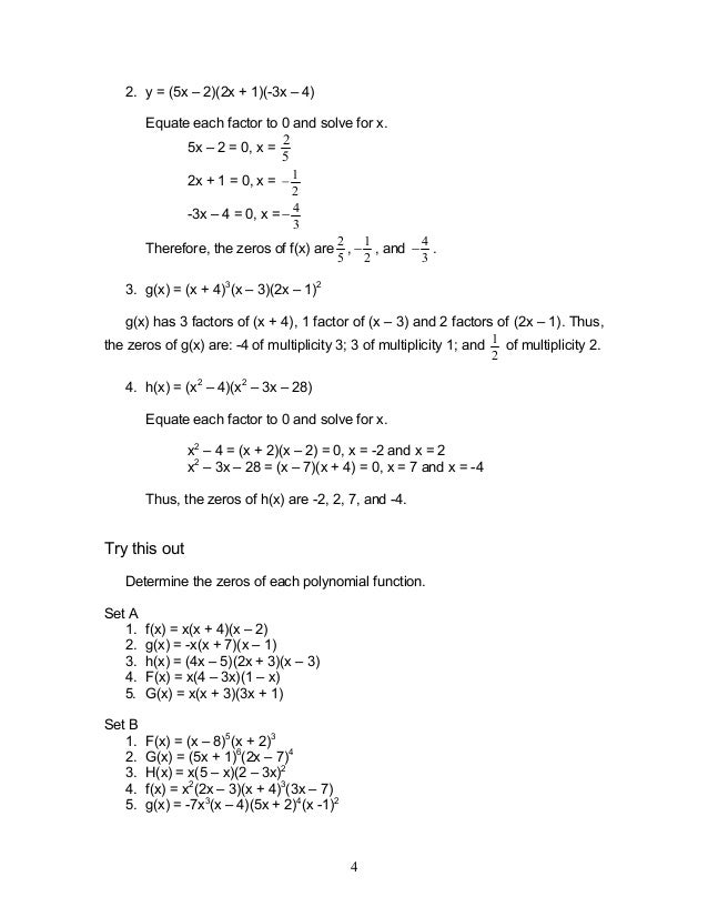
Polynomial Functions

Integrate Int Frac X 2 1 X 4 3x 3 5x 2 3x 1 Dx Mathematics Stack Exchange

Ex 7 5 9 Integrate 3x 5 X 3 X 2 X 1 Teachoo

Solve The Following Equations And Verify Your Answers I 3 X
Solved Solve The Following Equations 5 X 3 1 2 X 2 Chegg Com
Http Timmonsmath Weebly Com Uploads 2 3 8 0 6 4 6 5 Quiz Review Key Pdf

Math 0308 Final Exam Review Answers

Module 2 Polynomial Functions

3 2 A 4 0 Quad A 2 2 1 Solve The Following Equations Begin Array Ll Text 1 17 P 2 49 Text 2 2 M 7 9 Text 4 5 X 3 3 X 2 Text 5
Q Tbn 3aand9gcqih2fvoow92tzsghxdfgzxacbwrxcfu1jelcxpng3bkexld Ey Usqp Cau

How To Solve The Following Equations 1 5 X 1 2 1 3 2 1 4 X 1 2 1 3 3 1 1 2 M 3 4 1 2 Socratic

Ncert Solutions Cbse Sample Papers And Syllabus For Class 9 To 12 How To Factoize Factorise X3 2x2 X 2 Ii X3 3x2 9x 5 Iii X3 13x2 32x Iv 2y3 Y2 2y 1

Algebra Calculator Tutorial Mathpapa

Solved Find The Limits 5x 1 1 Lim X X 1 2 Lim 2x 7 1 Chegg Com

Algebra Calculator Tutorial Mathpapa

Solved Solve The Following Differential Equation X 2 Chegg Com

If 1 X 2 1 X 3 And 1 X 5 Are In Ap Find The Value Of X Brainly In

Find The Angle Between The Following Pairs Of Lines X Y Y 2 Z 1 And X 5 4 Y 2 1 Z 3 8 Mathematics Shaalaa Com

Derivative Of F X X 2 1 3 2x 5 2 Mathematics Stack Exchange
2

Checking Answers Using Algebra Calculator Mathpapa

Solution Given The Equations Solve For Y By Determinants
Eagleview Asd Org Teachers Donna Hussain Documents Quadratic relationships Chapter 8 Factoring review packet Pdf
If X 2 2 2 3 2 1 3 What Is The Value Of X 3 6x 2 6x Quora
If The Lines Math X 1 2 Y 2 3 Z 1 4 Math And Math X 3 1 Y K 2 Z 1 Math Intersect Then The Value Of Math K Math Is Quora

Math Solutions To Practice Final Exam X 2 X 2 X 2 X 3 X 2 X 2 X 2 5x 6 4 Pdf Free Download

Please Solve All These Equations Brainly In

Find The Point On The Line X 2 3 Y 1 2 Z 3 2 At A Distance 5 Units From Point 1 2 3 Mathematics Topperlearning Com Afjk19

3 5 X 4 1 3 2x 9 1 4 X 1 2 Brainly In

3 2 A 4 0 Quad A 2 2 1 Solve The Following Equations Begin Array Ll Text 1 17 P 2 49 Text 2 2 M 7 9 Text 4 5 X 3 3 X 2 Text 5

1 Solve Log 27 X 2 3 2 Write In Logarithmic Form 49 1 2 7 3 Graph Y 2 3 X 1 X 27 2 3 X 2 Log 2 1 3 X Ppt Download

Find The Separate Equation Of The Lines Represented By The Following Equation 10 X 1 2 X 1 Y 2 3 Y 2 2 0

Class 9 Polynomial 2 Coordinate Geometry Linear Equation In Two Variables Euclid S Geometry Lines And Angles Notes
Chapter 6 Factorisation Of Polynomials Rd Sharma Solutions For Class 9 Mathematics Maharashtra Topperlearning

Match The Function With Its Graph 1 F X 4 3 X 2 2 F X 4 3 X 1 2 3 F X 4 3 X 2 1 4 F X 3 X 1 5 F X 3 X 1 6 F X 3 X 1 2 Study Com

Polynomial Long Division X 3 3x 2 5x 3 X 1 Youtube

G X 2 1 2 X 1 3 Verify Transformation Of Key Points Between Functions Youtube

Solve Inequalities With Step By Step Math Problem Solver
Q Tbn 3aand9gcrxkxdmodoxvpnv5crbzoqy7s O0jcrz848 Ikz7uzxeqrxzmiw Usqp Cau

Solve For X 1 X 2 X 3 X 4 10 3 Math Quadratic Equations Meritnation Com

Graphing Parabolas

Differentiate The Function With Respect To X Sqrt X 1 X 2 X 3 X 4 X 5 Mathematics Shaalaa Com

Lo Solve Equations With Negative Solutions Progress Check Solve Showing Full Working 1 3x 21 2 X 5 8 3 12 X 3 4 4x 5 17 5 36 7x Ppt Download
Q Tbn 3aand9gcsfe0rt3xo8jtavcgvsk3urpcg3uy5ju5c7fbu5ras8ihk7u1ck Usqp Cau
Solve 5 X 1 1 Y 2 2 And 6 X 1 3 Y 2 1 Studyrankersonline
R D Sharma Solutions Class 10th Ch 3 Pair Of Linear Equations In Two Variables Exercise 3 3

Rd Sharma Solutions For Class 10 Chapter 8 Quadratic Equations Exercise 8 6 Avail Pdf
Solved Solve X 4 X 5 14 1 2 3 2 4 X 1 Chegg Com

1 1 Webassign Answers

6 6 Solving Radical Equations Principle Of Power If A B Then A N B N For Any N Question Is It Also True That If A N B N Then A B Explain In Ppt Download

Module 2 Polynomial Functions
Q Tbn 3aand9gctuuk Ranmidv Jlf1 P2xtc1nssd8nssgoivyhyoo Sqxncpvr Usqp Cau

4 2x 1 2 X 5 5 X 1 3

Chapter 6 Review Solutions

Differentiation Using The Chain Rule

Habilidades Logico Matematicas Pagina 3 Monografias Com

Vectors And The Geometry Of Space Monografias Com

How Solve Complicated Logarithm Socratic

Solved Multiple Choice 1 What Are The Solutions To X 3x Chegg Com

Math Spoken Here Classes Quadratic Equations 3

Check Whether The Following Are Quadratic Equations I X 1 2 2 X 3 Ii X 2 2x 2 3 X Youtube