Integration Of X4+x2+1x2 X+1

Ex 7 5 11 Integrate 5x X 1 X 2 4 Ncert Maths

How Do You Integrate Int X 4 Lnx 2 By Integration By Parts Method Socratic

Integral Of 3x 1 X 2 2 X 2 By Partial Fractions Youtube

Diary Outline For Math 152h Fall 09
Q Tbn 3aand9gcq1v7gnqfqtozr Cgo4p1g9bydr Awsnjagjf W Zw Usqp Cau

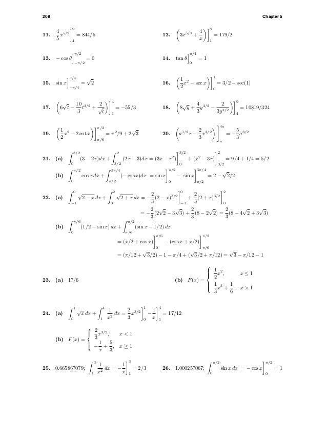
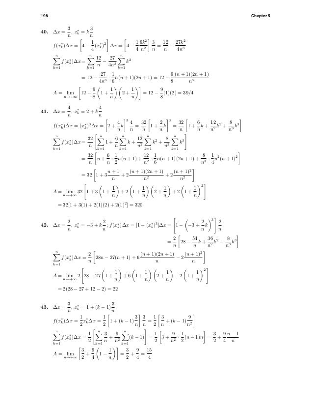
Solution Manual Chapter 05 Integration
Click here 👆 to get an answer to your question ️ integration of (x^4+x^2+1/x^2+x+1)dx 1.

Integration of x4+x2+1x2 x+1. Integral of x^4/(1+x^2) - How to integrate it step by step!. We can rewrite the integral in this form… mathI = \displaystyle\int\dfrac. (x^4 + x^3 + x^2 + 1)/(x^2 + x - 2) Begin reducing by adding 0 to the numerator in the form of -2x^2 + 2x^2 (x^4 + x^3 -2x^2 + 2x^2 + x^2 + 1)/(x^2 + x - 2) Break into two fractions:.
Síguenos en Twitter y FaceBook para cualquier duda, preguntas, ejercicios puntuales. 5 points Integration of (x^4+x^2+1/x^2+x+1)dx Ask for details ;. Thanks for the A Diganta Sengupta mathI = \displaystyle\int\dfrac{x^2+1}{x^4+x^2+1}\,dx/math Simply pull out mathx^2/math common from the numerator as well as the denominator… mathI = \displaystyle\int\dfrac{x^2(1+\frac{1}{x^2})}{x^2(x.
Log in Join now Secondary School. Please see the explanation. Log in Join now 1.
Follow Report by Brucebanner .01.18 Log in to add a comment. (x^4 + x^3 -2x^2)/(x^2 + x - 2) + (2x^2 + x. $$\int{\frac{x^4 + 1}{x^2 +1}}\, dx$$ I have tried substitution, trig identity and integration by parts but I'm just going round in circles.
Integral of 1/(x^2+x+1) - How to integrate it step by step!. I have this integral to evaluate:. MathI = \displaystyle\int\dfrac{x^2+x+1}{x^4+x^2+1}\,dx/math Let’s do a mischief!.
Enseñamos para aprender, aprendemos para. Because the order of the numerator is greater than the denominator some reduction must be done before expanding the partial fractions.

What Is The Integration Of 1 X 2 X 4 1 Quora
How To Solve This Integral Math Displaystyle Int 0 1 Frac X 4 1 X 4 X 2 1 D X Math Quora

How Will You Integrate Int Dx 1 X 4 1 4 Socratic

Integrate X 4 X 2 1 X 2 X 1 Dx Brainly In

Integrate The Functions Sqrt X 2 1 Log X 2 1 2log X X 4 Mathematics Shaalaa Com

Integration X2 1 Dx X4 X2 1 Mathematics Topperlearning Com Rpgaf1
What Is The Integration Of Dx X 4 7x 2 9 Quora
Evaluate The Integral Of 1 X2 4x 4 X2 4x 5 Stumbling Robot

Integral Wrong Issue Sympy Sympy Github

Integral Of X 4 1 X 6 2 Youtube
Q Tbn 3aand9gcq1v7gnqfqtozr Cgo4p1g9bydr Awsnjagjf W Zw Usqp Cau

How To Find The Integral Of 1 X 3sqrt X 2 1 Quora

Shortcuts For Integrating Int Sqrt X 2 36 Dx Mathematics Stack Exchange

Notes On A Level P3 Integration Notes

Solved Evaluate The Definite Integrate Integrate 1 0 X Sq Chegg Com

Answered B F X Cosx 0 7 2 3d 8 Bartleby

Evaluate The Integral Int Frac X X 2 1 2 Dx Mathematics Stack Exchange

Solution Manual Chapter 05 Integration

Solved In Problems 19 22 Use Partial Fraction Decomposit Chegg Com

Integral Calculator Integrate With Wolfram Alpha

What Is The Integration Of X 2 X 4 1 Quora

Integrate Sqrt 16x 2 25 X 4 Using Trigonometric Substitution Math Videos Calculus Integrity

Integration X2 1 X4 1 Dx Explain In Great Detail Mathematics Topperlearning Com 7pbpq922

How Do You Evaluate The Integral 1 Tan X 3 Sec 2 X Dx Within The Range 0 Pi 4 Socratic

Trigonometric Substitution

Integration Webfunpage Com

Contour Integration 2 Integral Of X 2 X 4 1 Learnmathsfree Youtube

Find Integration X 4 1 X X 2 1 2 Teachoo Cbse Class 12

Integral Of Dx X 2 4x 5 By Trigonometric Substitution Youtube

Integral Of 1 Sqrt X 2 4x By Completing The Square Completing The Square Math Videos Calculus

Integration Calculus Notes

Integration Area Enclosed By Graph Of X 4 Y 4 1 Mathematics Stack Exchange

Solution Manual Chapter 05 Integration
Euler Substitution Wikipedia

Misc 4 Integrate 1 X2 X4 1 3 4 Class 12 Ncert Miscellaneous
Evaluate The Integral Of 4x2 X 1 X3 1 Stumbling Robot

Integration Calculus Notes

Solved 6 Integral Dx X 2 9x 10 7 Integral 1until0 X Chegg Com

Evaluate Integration X4 1 X2 Dx Explain In Great Detail Mathematics Topperlearning Com Bqrcg5ff

Solved Integral 1 0 X X 2 4x 13 Dx 1 2 Ln 18 13 P Chegg Com

Integration Of 1 X 2 X 2 6x 7 1 2 Mathematics Topperlearning Com Dcfoz7hh

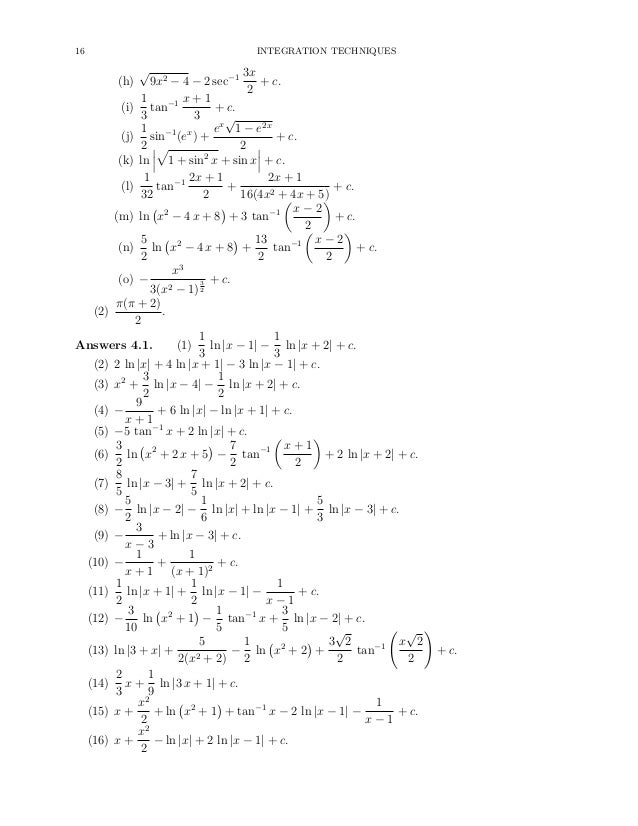
Integration Techniques

Log Integral For X 2 5x 1 X 2 1 Youtube

If The Substitution U X 2 Is Made The Intergal From 2 To 4 1 X 2 2 X Dx Brainly Com

Integral Of X 2 1 X 4 1 Youtube
How To Integrate X 1 X 2 X 4 From Limits 1 To 4 Quora

4 3 Integration By Substitution

Solution Manual Chapter 05 Integration
Integrate Int1 X 2 X 1 2x

Integrate 1 X 1 3 4 X 2 5 4 Math Integrals Meritnation Com

Example 16 Find Integral X2 X 1 Dx X 2 X2 1

Check My Solution Integral Of 6x 2 3x 1 Dx 4x 1 X 2 1 Mathalino

Urgent Integrate X 1 X 2 X 3 X 4 X 5 X 6 Dx Math Meritnation Com

Example 39 Evaluate Integral X4 Dx X 1 X2 1 Examples
Solved Integrate 1 Integral 1 X 2 7x Dx 2 Integral Chegg Com
Solved Integral Square Root X 2 1 X 4 Dx Integral 0 3 X Chegg Com

Integral Of X 4 1 X 2 Youtube

What Is The Integration Of 1 X 2 X 4 1 Quora
Evaluate The Integral Of 1 X4 1 Stumbling Robot
What Is The Integration Of Dx X 4 7x 2 9 Quora
Evaluate The Definite Integral X 4 1 X 4 Cos 1 2x 1 X 2 For X 1 3 1 3 Dx Sarthaks Econnect Largest Online Education Community

Column I A Int X 2 X 1 X 3 4x 2 4x Dx B Int X 2 1 X X 2
Geneseo Math 222 01 Integration By Parts 2

Int X 9 4x 2 1 6 Dx Is Equal To A 1 5x 4 1 X 2

Evaluate The Integral Int Sqrt 1 4x 2 Dx Mathematics Stack Exchange

Integral X 2 5x 1 X 4 X 2 1 Dx Mathematics Topperlearning Com 6kszj6rr
How To Do The Integration Dx X 4 1 X 6 1 Quora
Solved Express The Integrand As A Sum Of Partial Fraction Chegg Com
Evaluate The Integral Of X4 2x 6 X3 X2 2x Stumbling Robot
Evaluate The Integral From 0 To 2 Of 375x5 X2 1 4 Stumbling Robot
Gaussian Integral Wikipedia

How Do You Integrate 6x 1 X 2 2x 3 Socratic
Q Tbn 3aand9gcswubrwnsnttvnrrmufnfe22moz1zjpog2ymqthkgtsxx0uynib Usqp Cau

Homework 7 15 Examples M 408l Integral Calculus Studocu

Integrate The Following X3 8 X 1 X2 2x 4 Brainly In

Evaluate The Definite Integrals Int 1 4 X 1 X 2 X 3 Dx Mathematics Shaalaa Com
Tegrate X2dx X4 X2 12 Studyrankersonline

Solving The Integral Of X 2 1 X 2 2 X 2 3 X 2 4 Dx Youtube

How Do You Find The Integral Of Sqrt 4x 2 9 X Socratic

Solved Find Integral X 4 2x 2 4x 1 X 3 X 2 X Chegg Com
Solved Use Taylor Series Cos X 1 X 2 2 X 4 4 X Chegg Com
The Integral 2x 3 1 X 4 X Dx Is Equal To Here C Is A Constant Of Integration Sarthaks Econnect Largest Online Education Community

Solved F X 5x 1 X 2 1 F X 9x 7 2x 2 7x 3 Chegg Com

How Do You Integrate F X X 2 1 X 2 1 X 4 Using Partial Fractions Homeworklib
Q Tbn 3aand9gcr7ez1 Hwinqpicmc Jm77rccjbdz8qllbrz3ldxtorf174dzss Usqp Cau

Integral Calculus
Evaluate The Integral Of 1 X4 1 Stumbling Robot

Integrate X2 1 X4 X2 1 Dx Math Integrals Meritnation Com

Integration Ppt Download

Integration Of X 4 X 1 X 2 1 Askiitians

Integral Of 1 X 2 4 Partial Fraction Decomposition Youtube
How To Do The Integration Dx X 4 1 X 6 1 Quora

Answered 1 Vxx 11 Vx 1 4 Verify By Bartleby
How To Solve This Integration Of X 2 1 Dx X 4 X 2 1 Quora

Solved Integration By Long Division And Partial Fraction Chegg Com

Integral Of X 3 X 2 4x 3 Partial Fraction Decomposition Youtube

The Integral Int Frac 2 X 3 1 X 4 X D X Is Equal To Here C Is A Constant Of Integration Begin Array Ll Text A Log E Left Frac X 3 1 X Right C Text B Frac 1 2 Log
How To Integrate 4 X 2 1 2 Quora