Fx+1xx3+1x3 4x2+1x2+13
If X 1 X 3 Then What Is The Value Of X 1 X Quora
2

Solving Rational Equations

1 Functions

1 Points Details Ghcolalg12 3 4 072 1 Let F X 1 X 3 And G X Homeworklib

Free Math Answers Answers Within 24 Hours Step By Step Explanations
X-1/x=2の時、次の値を求めよ (1)x^2+1/x^2 (2)x+1/x (3)x^3+1/x^3 (4)x^4ー1/x^4 (5)x^4+1/x^4 x^3-1/x^3は因数分解の公式当てはめたら解けたんですが他が分かりませんお願いします.

Fx+1xx3+1x3 4x2+1x2+13. For math, science, nutrition, history. Get an answer for 'Given the sum x + 1/x = 4 what is x^2 + 1/x^2, x^3 + 1/x^3 ?' and find homework help for other Math questions at eNotes. だから, その解答がスマートだけどもちろん地道に「x+1/x = 3 を解いて得られる x の値を x^2+1/x^2 に代入する」という手法でもいい.
Compute answers using Wolfram's breakthrough technology & knowledgebase, relied on by millions of students & professionals. もうちょっとかみくだいていうと「x+1/x = 3 を満たす x の値に対して x^2+1/x^2 の値を求めろ」ってこと.

Example 17 Solve 2 X 3 Y 13 5 X 4 Y 2 Examples

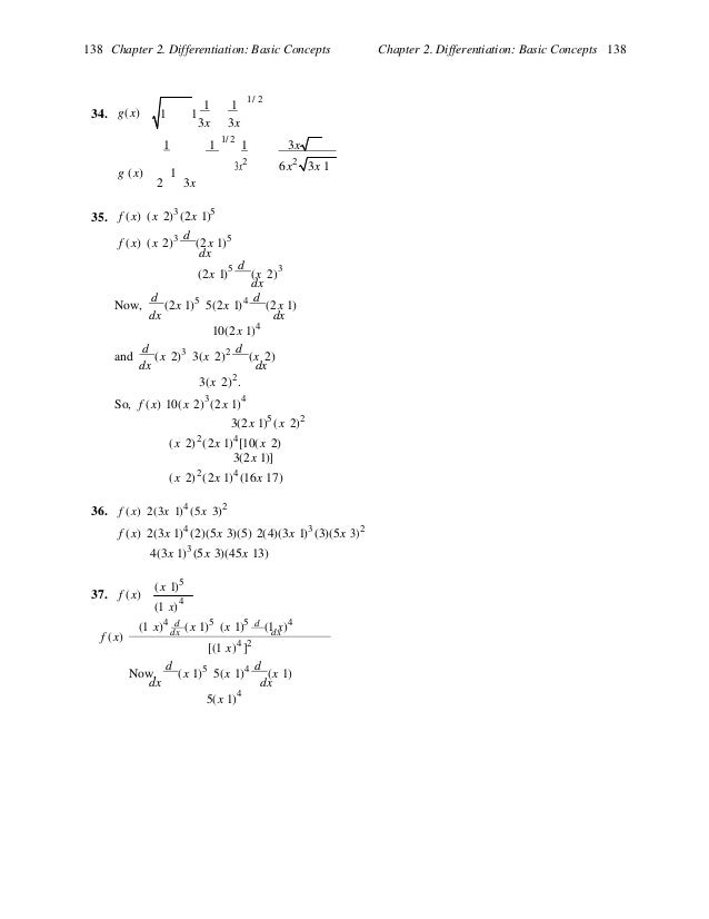
Ex 13 2 9 Find Derivative Of I 2x 3 4 Ii 5x 3 3x 1 X 1

Math Scene Equations Iii Lesson 3 Quadratic Equations

Composition Of Functions Composing Functions At Points

Solved I Need 21 25 27 29 I Need Each One Step By Step S Chegg Com
2

How Do You Find The Equation Of The Tangent Line To The Graph Of F X X 3 At Point 2 8 Socratic

Simplify The Following Brainly In
Solved Solve The Following Equation 3 X 3 4 X 3 3x 13 X Chegg Com
Solved Integral X 3 2x 2 X Dx Integral X 4 2x 3 Chegg Com

Example 13 Solve Tan 1 2x Tan 1 3x Pi 4 Class 12

Math Scene Equations Iii Lesson 3 Quadratic Equations

Find The Limits As X And As X Use This Information Together With Intercepts To Give A Rough Sketch Of The Graph As In Example 12 Example

Ex 13 2 9 Find Derivative Of I 2x 3 4 Ii 5x 3 3x 1 X 1

Math 5700 Homework 9 Solve These Equations Give Exact Answers 5 1 2
Math 4b Answer Chinese
Find Values Of X If Any At Which F X Is F X Chegg Com

Name Date

Lesson 1 1 Pages 5 11 State The Domain And Range Of Each Relation Then State Whether The Relation Is A Function Write Yes Or No Pdf Free Download

Indital Punched Channel 2 X 1 X 1 8 Sq Hole 13 16 Fits 3 4 Picket W 4 On Ctr Pierced Bars

Let F N Y Be A Function Defined By F X 4x 2 12x 15 Where Y Range Of F Show That F Is Invertible And Find The Inverse Of F
2
If X 1 X 3 Then What Is The Value Of X 1 X Quora

Ex 4 3 3 Find Roots Of I X 1 X 3 Ii 1 X 4 1 X 7

Solving Polynomial Equations Answers

Math Scene Equations Iii Lesson 3 Quadratic Equations
Q Tbn 3aand9gcryixirruudkdq9z6zt8ev7gwhkilswitpmjlayixmouyzddzk Usqp Cau

Rd Sharma Solutions For Class 10 Chapter 8 Quadratic Equations Exercise 8 6 Avail Pdf
2

Graphing Parabolas
Solved Find The Derivative Of The Function F X 5x 6 Chegg Com

Solved Using The Quadratic Formula To Solve This Equation Chegg Com
2

Evaluate The Following X4 4x3 6x2 4x 9 When X 1 I 2

Algebra 2 Standard Form Of A Quadratic Function Lesson 4 2 Part Ppt Download

Ch 2 Review
Solved Finding An Equation Of A Tangent Plane In Exercise Chegg Com
Q Tbn 3aand9gcsnpfmyrsbee4qqbgpytnqudex6h1o5ppxcnfwrdthmlgplrmad Usqp Cau

Graphing Parabolas

Solved 19 Let F Be The Function Given Below F X X 5 Chegg Com

Solving Rational Equations
How To Know When An Equation Has No Solution Or Infinitely Many Solutions
Q Tbn 3aand9gcq9arl5ab K Kkztqdma6czzlslnfprp6ljv7o6a18 5qqda4yy Usqp Cau
Q Tbn 3aand9gctdglzivkguot6zkx Arbk9awkifh05 Alyj3nl3xj Vnm 1ssr Usqp Cau

1 Functions

Limits By Factoring Video Khan Academy
If X 3 2 2 Then What Is The Value Of X 1 X Quora

Algebra Practice Problems For Precalculus And Calculus 1

Free Math Answers Answers Within 24 Hours Step By Step Explanations

Here Is A Table Of Values For Y F X X 2 1 0 1 2 3 4 5 6 Rx 5 6 7 8 9 10 11 12 13 Mark The Brainly Com
2

Ex 4 3 3 Find Roots Of I X 1 X 3 Ii 1 X 4 1 X 7
2

F X 3 Find The Numerical Value Of

11 If F Left X Frac 1 X Right X 3 Frac 1 X 3 4 Left X 2 Frac 1 X 2 Right 13 Then F 2 Sqrt 3 8 Frac 1 R 2 A 7 4 4 Frac 1 3

Free Math Answers Answers Within 24 Hours Step By Step Explanations

1 Functions

If F X X 2 7x 12 2 2x 3 4 2x 3 4 13 X 2 3 X
The Function F X X 3 X 1 F X X 2 4 3x 2 13 4 X 1 Is Sarthaks Econnect Largest Online Education Community

If F Left X Frac 1 X Right X 3 Frac 1 X 3 4 Left X 2 Frac 1 X 2 Right 13 Then The Value Of F 2 Sqrt 3 Begin Array Llll X 9 2 10 3 Text 11 4 End Array

Solving Rational Equations

Solutions Manual For Calculus For Business Economics And The Social A

Finding Inverse Functions Linear Video Khan Academy

Answered Find Equations For The Vertical Bartleby

Algebra Calculator Tutorial Mathpapa

Free Math Answers Answers Within 24 Hours Step By Step Explanations
If X 1 X 3 Then What Is The Value Of X 1 X Quora

Solved Limits Algebraically Find The Following Limits 1 Chegg Com

Putnam Training Polynomials Exercises 1 Find A Polynomial With Integral Coefficients Whose Zeros Include Pdf Free Download
If X 1 X 3 Then What Is The Value Of X 1 X Quora

If F X 1 X X 3 1 X 3 4 X 2 1 X 2 13 Then The Value Of F 2 3 Brainly In

Wolfram Alpha Examples Step By Step Solutions

Systems Of Linear Equations

What Is The Volume Of The Solid Produced By Revolving F X 1 X 1 1 X 2 X In 3 4 Around The X Axis Socratic

Solved The Places Function Value X 6 8 1 F X 3 4 2 Chegg Com

2 Upon X 2 Upon 3 Y Is Equal To 1 Upon 6 3 Upon X 2 Upon Y Is Equal To Zero Brainly In

Identify Vertical And Horizontal Asymptotes College Algebra

Finding Inverse Functions Linear Video Khan Academy

Ex 13 2 9 Find Derivative Of I 2x 3 4 Ii 5x 3 3x 1 X 1
Solved Exercises 3 2 Compute Fg X Where F X And G X A Chegg Com
If X 3 8 Then How Do I Find The Value Of X 1 X Quora
Www Math Uh Edu Jsalcala Math1431s19 Week3day1c Pdf
2

Algebra Calculator Tutorial Mathpapa

1 Functions

Free Math Answers Answers Within 24 Hours Step By Step Explanations

Write The Equation For A Linear Function From The Graph Of A Line College Algebra

1 Functions

Calameo Ecuaciones

How To Simplify Math Expressions 13 Steps With Pictures

Example 13 Solve Tan 1 2x Tan 1 3x Pi 4 Class 12

Solving Exponential Equations Exact Answer For 7 X 3 4 2x 1 Youtube
Www Math Utah Edu Wortman 1050 Text If Pdf

Find The Intervals In Which F X X 1 X 3 Is 1 Strictly Increasing 2 Strictly Decreasing Brainly In

Example 13 Solve Tan 1 2x Tan 1 3x Pi 4 Class 12

1 Functions

Solved 1x 2x 7 F X X 8 X 2x T O 9 X X 10 Chegg Com
Solved 1 17 Odd Determine And Verify Inverses Questions Chegg Com