3x+1 1223x 1

Example 1 Solve By Equating Exponents Rewrite 4 And As Powers With Base Solve 4 X 1 2 X 3 2 2 2 X 3x 1 1 2 2 2 X X 3 2x Ppt Download

Solve For X 3 X 1 1 2 2

3 X 1 1 2 2 3x 1 It Is Quadratic Problem Brainly In

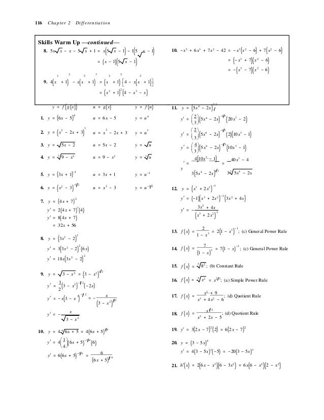
Ex 13 2 9 Find Derivative Of I 2x 3 4 Ii 5x 3 3x 1 X 1
Find The Roots Of 3 X 1 1 2 2 3x 1 Sarthaks Econnect Largest Online Education Community

The Equation 1 X 2 1 X 2 2 X 2 2x 1 3x 1 5x X 1 2x
New video tutorials information.

3x+1 1223x 1. Write both of the. Inform you about new question papers. 👍 Correct answer to the question:.
Pairs of linear equation 3x + y - 11 is equal to zero and. Find the roots of 3/(x+1) -1/2 = 2/(3x-1) quadratic equations;. ← Prev Question.
Tiger Algebra gives you not only the answers, but also the complete step by step method for solving your equations 1/x+2/3x=1/3 so that you understand better. Share It On Facebook Twitter Email. Find an answer to your question 3/x+1-1/2=2/3x-1 solve for x vijaytharani05 is waiting for your help.
I really need this plss do it fast. Solve the equation { 3/(x+1) } - {1/2 } = { 2/(3x-1) } where x ≠ -1 ,x ≠ (-3)/(2 ) and find the value of x .you will get 2 values of x. Solve for x, 3/(x+1) - 1/2 = 1/(3x+3).
1 Answer +1 vote. 3/x+1 - 1/2 =2/3x-1 solve the following equation by - Yusuf7021 is waiting for your help. 3/(x+1)-1/2=2/(3x-1) , x ≠ –1, 1/3.
Why x*30=3x/5*t is equal to 30=3/5'*t?. So let me, let's, let's make up a problem. Add your answer and earn points.
Answered Sep 11, 18 by AmirMustafa (59.8k points) selected Sep 23, 18 by Vikash Kumar. How to solve 3/x+1 - 1/2 =2/3x-1, (x not equal to -1 or 1/3) This question has not been answered yet!. Inform you about time table of exam.
Welcome to my presentation on level three linear, yeah, level three linear equations. You can check out similar questions with solutions below.

Free Math Answers Answers Within 24 Hours Step By Step Explanations
Systems Of Equations With Graphing Article Khan Academy

Bellwork Graph Each Line 1 3x Y 6 2 Y 1 2 X 3 Y Ppt Video Online Download
Www Hoodriver K12 Or Us Cms Lib06 Or Centricity Domain 230 6 final exam pt 2 answer key 16 17 ap Calculusab Practice Exam Pdf

Solve For X Single Variable Equation Algebra 1 Youtube
If X 2 2 2 3 2 1 3 What Is The Value Of X 3 6x 2 6x Quora

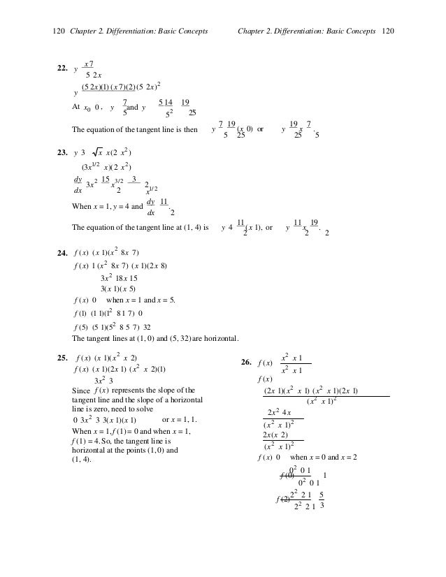
3 X 1 1 2 2 3x 1 X 1 1 3 Brainly In

Introductory Mathematical Analysis Textbook Solution Manual

Ex 7 5 3 Integrate 3x 1 X 1 X 2 X 3 Ex 7 5

Ex 13 2 9 Find Derivative Of I 2x 3 4 Ii 5x 3 3x 1 X 1
What Are The Values Of X Satisfying X 2 X 3 1 Quora

Ex 2 2 2 3cos 1 X Cos 1 4x3 3x Chapter 2 Class 12

Solutions Manual For Calculus For Business Economics And The Social A

Graph Equations With Step By Step Math Problem Solver
What Are The Values Of X Satisfying X 2 X 3 1 Quora
What Is The Limit Of X 1 2 3 X 1 2 3 As X Tends To Infinity Quora

Free Math Answers Answers Within 24 Hours Step By Step Explanations

Solving A System Of Equations Using A Matrix Precalculus Socratic

Math Scene Equations Iii Lesson 2 Quadratic Equations

March 16 Algebra Ii 5 0 3 1 16

Free Math Answers Answers Within 24 Hours Step By Step Explanations

Solve The Equation And Verify Ur Answer 3x 1 3 2 X 1 2 5 Plz Hlp Me I Will Mrk Ur Ans As Brainly In

Solving A System Of Equations Using A Matrix Precalculus Socratic

3 X 1 1 2 2 3x 1 X 1 1

Solved Determine The Domain And Range Of Each Relation V Chegg Com
Www Hoodriver K12 Or Us Cms Lib06 Or Centricity Domain 230 6 final exam pt 2 answer key 16 17 ap Calculusab Practice Exam Pdf

14 Find All The Zeroes Of The Polynomial 2x4 9x3 5x2 3x 1 If Two Of Its Zeroes Are 2 Root 3 Brainly In

X 3 X 1 1 2 2 3x 1 X 1 1

Solved Name 2 3 Evaluate The Limits Show Work 1 ſi Lim Chegg Com

Math Scene Equations Iii Lesson 2 Quadratic Equations

Lesson 1 1 Pages 5 11 State The Domain And Range Of Each Relation Then State Whether The Relation Is A Function Write Yes Or No Pdf Free Download

Algebra Calculator Tutorial Mathpapa
2

Ex 5 3 10 Find Dy Dx In Y Tan 1 3x X3 1 3x2 Ex 5 3

Solving 2x 2 3x 1 0 Using The Quadratic Formula Youtube

Solved 3x2 9y2 4 16 6x 1 3 27x2 2 9x3 2r 3 6 Chegg Com

Solve Each Of The Following Quadratic Equations 3 X 1 1 2 2 3x 1 e 1 1 3 Youtube

2 X 1 3 3 X 2 4 X 1 6 Youtube

3 X 1 1 2 1 3x 3 Youtube

Ex 13 2 9 Find Derivative Of I 2x 3 4 Ii 5x 3 3x 1 X 1

Solve X 2 3 X 1 3 2 0 Youtube

Rd Sharma Class 10 Solutions Maths Chapter 3 Pair Of Linear Equations In Two Variables Exercise 3 2
Solved X 3 2 2x 1 2 X1 2 X 1 7 2 X 1 3 2 X Chegg Com

Find X For The Terms X 3 X 1 And 4x 2 In Geometric Sequence Youtube

Regents Practice Test 3

Ex 13 2 9 Find Derivative Of I 2x 3 4 Ii 5x 3 3x 1 X 1

Solve Inequalities With Step By Step Math Problem Solver

Solving Exponential Equations Using Exponent Properties Advanced Video Khan Academy

Solutions Manual For Calculus For Business Economics And The Social A

Solved In Each Of Problems 1 Through 5 Either Solve The Chegg Com

Example 1 Solve By Equating Exponents Rewrite 4 And As Powers With Base Solve 4 X 1 2 X 3 2 2 2 X 3x 1 1 2 2 2 X X 3 2x Ppt Download
R D Sharma Solutions Class 10th Ch 8 Quadratic Equations Exercise 8 3

3 X 1 1 2 2 3x 1 Solve The Following Equation By Factorization Brainly In

Free Math Answers Answers Within 24 Hours Step By Step Explanations

Solve For X In These Equations X 3 2 3x 1 2 0 X 3 4 9x 1 4 Youtube

Solve Inequalities With Step By Step Math Problem Solver
Q Tbn 3aand9gcs1nhembcnz4epk Lmr6jewklxzq6zg9y8op1lakjtzjmu 93r Usqp Cau

Example 1 Solve By Equating Exponents Rewrite 4 And As Powers With Base Solve 4 X 1 2 X 3 2 2 2 X 3x 1 1 2 2 2 X X 3 2x Ppt Download
If X 2 2 2 3 2 1 3 What Is The Value Of X 3 6x 2 6x Quora

Solutions Manual For Calculus For Business Economics And The Social A

Solve 3 X 1 1 2 2 3x 1 Brainly In

Solved C R X F 3x I 1 1 2 2 3 3 F X W R X Chegg Com

3 X 1 1 2 2 3x 1 It Is Quadratic Problem Brainly In

Solutions Manual For Calculus For Business Economics And The Social A

Rational Expressions

Solving Equations Graphically

Solutions Manual For Calculus For Business Economics And The Social A
Www Math Utah Edu Wortman 1050 Text If Pdf

Solutions Manual For Calculus For Business Economics And The Social A
Www Hoodriver K12 Or Us Cms Lib06 Or Centricity Domain 230 6 final exam pt 2 answer key 16 17 ap Calculusab Practice Exam Pdf
What Is The Limit As X Tends To 1 1 X 1 3 1 X 2 3 Equal To Quora

Solving A System Of Equations Using A Matrix Precalculus Socratic

If Two Zeroes Are 2 3 And 2 3 Of The P X 2x4 9x3 5x2 3x 1 Find Other Two Zeroes Brainly In
2
Solved 2 5x 3 1 5 2x 1 1 2 2x 1 1 4 8x 2 Chegg Com
What Is The Solution To The Equation 1 2x 3 2 X 1 1 4 5 Quora

Solutions Manual For Calculus An Applied Approach Brief International

Ex 3 6 1 I And Ii Solve 1 2x 1 3y 2 1 3x 1 2y

Solutions Manual For Calculus For Business Economics And The Social A

Ex 6 1 16 Solve 2x 1 3 3x 2 4 2 X 5

1 2x 1 3y 2 1 3x 1 2y 13 6 Solve The Pair Of Equations By Reducing Them To A Pair Youtube

Solve Inequalities With Step By Step Math Problem Solver

Algebra Calculator Tutorial Mathpapa

Introductory Mathematical Analysis Textbook Solution Manual

Linear Equations 3 Video Khan Academy

Systems Of Linear Equations

How Do You Graph 3x 4 5x 3 X 2 5x 2 By Finding All Of Its Roots Socratic

What Is The Limit Of X 1 2 3 X 1 2 3 As X Tends To Infinity Quora

Solved Find The Taylor Series For F X Centered At The Gi Chegg Com

Algebra Calculator Tutorial Mathpapa

Wolfram Alpha Examples Step By Step Solutions

Ex 5 3 10 Find Dy Dx In Y Tan 1 3x X3 1 3x2 Ex 5 3

Ml Aggarwal Solutions For Class 10 Chapter 5 Quadratic Equations In One Variable Free Pdf Available

Given The Function F X X 4 2x 3 6x 2 3x 1 Use Intermediate Theorem To Decide Which Of The Brainly Com
Q Tbn 3aand9gcqexl3 Aca96lkxqbgkfuudblh98lmyfftpmrafp4xb5eqvgdls Usqp Cau

Math Scene Equations Iii Lesson 2 Quadratic Equations