Px Q+qx P2

Copy Of Chapter 01

If P And Q Are Distinct Reals Then 2 X P X Q P X P Q Q X Q P P Q 2 X P 2 Youtube

X P X Q Q X P 2 X P Q Solve For

The Scaled Momentum Spectra 1 N Dn D Ln 1 X P In X Q 2 Bins Download Scientific Diagram

How To Complete The Square And Write A Quadratic In The Form X P 2 Q Youtube

P X Q Q X P 2 Solve Brainly In
Course Title BIOL 214;.
Px q+qx p2. Applect Learning Systems Pvt. Multiply both sides by x to get rid of the denominators. P/x-q + q/x-p = 2 , x=?.
Freq A a p x q q x p 2 pq Freq aa q x q q 2 p 2 2 pq q 2 1 Lets return to the. Move every term with x to one side. NCERT DC Pandey Sunil Batra HC Verma Pradeep Errorless.
This preview shows page 22 - 33 out of 41 pages. What are you looking for?. P - qx + q - px = 2x.
Freq a a p x q q x p 2 pq freq aa q x q q 2 p 2 2 pq. NCERT P Bahadur IIT-JEE Previous Year Narendra Awasthi MS Chauhan. NCERT RD Sharma Cengage KC Sinha.
Follow Report by Amazingaryan04 15.02. Log in to add a comment Answers. P + q = 2x + qx + px. School Texas A&M University;.
X!=p , q` Books. Applect Learning Systems Pvt. Take out a factor of x.

Suppose P And Q Are Real Numbers Which Do Not Take Simultaneously The Values P 0 Q 1 Suppose The Equation 1 Q P 2 X P 1 Q X Q P 1 P 2 0 Has Two Equalr Mathematics Topperlearning Com Z6h26i00

P X P Q X P 2 Solve For X Math Quadratic Equations Meritnation Com

On The Fourth Power Mean Of The General Kth Kloosterman Sums Topic Of Research Paper In Mathematics Download Scholarly Article Pdf And Read For Free On Cyberleninka Open Science Hub

Graph Each Function Label The Vertex And Axis Of Symmetry Ppt Video Online Download

Chapter 1 Maths 3
Www Civil Iitb Ac In Naresh Teaching Ce102 Chp5 P49 60 Pdf

Finding Features Of Quadratic Functions Video Khan Academy

Math 17 18 Lecture Notes 3 Negations And Contrapositives Of Statements With Quantifiers Studocu

The Scaled Momentum Spectra 1 N Dn D Ln 1 X P For Different X Download Scientific Diagram

Solved Factor Completely 17 P Q Xp G A A 16 B Chegg Com

Quantifiers Definitions And The Proofs Of Theorems Now That Quantified Statements Has Been Defined The Rules Of Inference Can Be Applied To These Statements To Prove Or Validate Mathematical

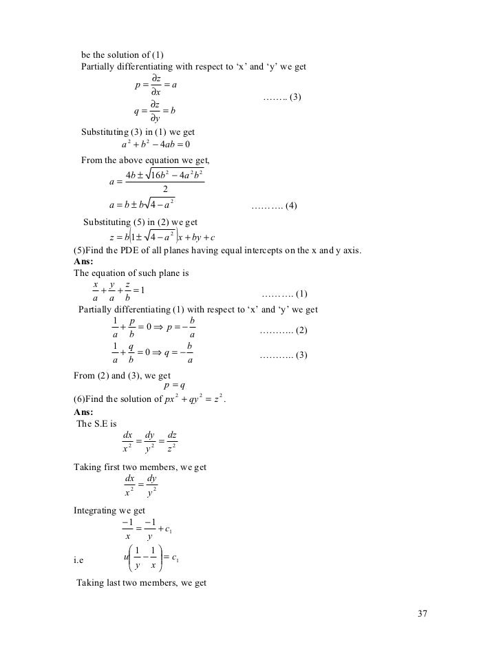
Lagrange S Linear Equation

Solved Exercise 1 Let P R And Q X Be Propositional Fun Chegg Com
The Value Of Lim X 1 P 1 X P Q 1 X Q P Q N Is A P Q 2 Sarthaks Econnect Largest Online Education Community
2

D2nchlq0f2u6vy Cloudfront Net 18 03 22 A1759c2e

Example 2 If P A B C And Q R Find P X Q And Q X P

Logically Equivalent Justify Your Answer Gate Overflow

Solve The Following System Of Equations X P Y Q 1 P X P Q Y Q 2p 2 Q 2 Youtube

S X Q X X S Q X How To Prove The Validity Of This Sequent In Predicate Logic Mathematics Stack Exchange

P X Q Q X P 2 Math Quadratic Equations Meritnation Com

The Roots Of The Equation X P X Q R 2 Where P Q R Are Real Are Youtube
An Improved And Efficient Mutual Authentication Scheme For Session Initiation Protocol

Identify The Error Or Errors In This Argument Tha

How To Complete The Square And Write A Quadratic In The Form X P 2 Q Youtube

Quadratic Functions Functions Siyavula

Solve The Following Pair Of Linear Equationa I Quad P X Q Y P Q Q

4 If P G X And Q X 2 X Find A Formula Chegg Com

Completing The Square Write In The Form X P Squared Q Youtube

Completing The Square Calculator

Ppt Complex Number Powerpoint Presentation Free Download Id

The Official Handy Dandy Academy Math Cheat Sheet

Chapter 1 Maths 3

A Quadratic Equation X 2 8x 9 0 Is Rewritten In The Form X P 2

Vocabulary Builder Mr Frye S Algebra 2 Class

The Chess Player S Pocket Book And Manual Of The Openings Ivt X Kt P Kb4 P Qt Ktxb B K2 P Q3 Pxp Pxkt B Ktt P Kri 10 P Qo P Kri Qxp B K2 P Q5p Gkf3 Q b K3 Ab X Pchb K3 B X

Infiltrate Our Applied Cryptanalysis Will Melt Your Brain With 10 Hrs Of Exercises T Co Dgk9uwmzj3

Solve X P X Q Q X P 2 X P Q Youtube
Http Www Sciencedirect Com Science Article Pii S Pdf Md5 E6f6ede5308b148a80ef23a2a10b8ab3 Pid 1 S2 0 S Main Pdf

Lesson 9 5 Factor Ppt Download

Lesson 3 Math Online Lessons
Solve The Following Quadratic Equation For X P2x2 P2 Q2 X Q2 0 Mathematics Topperlearning Com Cf13ivpdd

Inference In First Order Logic Chapter 9 Ppt Download
2

Charpit Method Non Linear Pde Mathematics Stack Exchange

The Vertices Of The Triangle Formed By Thes Solve The Following Pair Of Linear Equatio I P X Q Y P Q N Nq X P Y P Q N
2

Use Rules Of Inference To Show That If X P X Q X And X P X Q X R X Are True Then X R X P X Is Also True Where The Domains

Solve Using Quadratic Formula P 2 X 2 P 2 Q 2 X Q 2 0 Here Means Square Brainly In

P X Q Q X P 2 Math Quadratic Equations Meritnation Com

How Do You Write A Quadratic Equation In Intercept Form If You Have A Graph Printable Summary Virtual Nerd

Solve The Following Quadratic Equation P 2 X 2 P 2 Q 2 X Q 2 0 Brainly In

The Equation 2x 2 12x 4 Is Written In The Form Of 2 X P 2 Q 0 W
Q Tbn 3aand9gcss7 X2ymouu1rf0fwojmnt50bhzucctegyxrxod 7ekz Vrtfb Usqp Cau

A Quadratic Trinomial Of The Form X 2 Bx C Can Be Factored As X P X Q Select The Two True Statements About P And Q A P Q B B P Q

If X P 2q P 2q P 2q P 2q Then Show That Qx 2 Px Q 0

Solve For X P 2x 2 P 2 Q 2 X Q 2 Math Quadratic Equations Meritnation Com

Solved Quadratic Functions Can Also Be Written In The For Chegg Com

Consider The Formulas A X P X X Q X B Chegg Com

Rules Of Inference Showing That We Can Conclude Exists Xp X Lor Exists Xq X From Exists X P X Lor Q X Mathematics Stack Exchange

If X 1 X P And X 1 X Q And X Is Not Equal To Zero Find A Relation Between P And Q Mathematics Topperlearning Com Iw23bvmm

Solve P X Q Q X P 2 Math Quadratic Equations Meritnation Com

Solved 1 The Factored Form Of A Quadratic Function Is F Chegg Com
2

Example 2 If P A B C And Q R Find P X Q And Q X P

The Distance Between X P And X Q In Metric H Where C P And C Q Are The Download Scientific Diagram

Solve The Following Pair Of Linear Equationa I Quad P X Q Y P Q Q X P Y P

Q 1 2 1 P 1 1 1 Find Q P P Q Scholr

Elliptic Curve Wikipedia
/asGF.jpg)
Axis Of Symmetry Parabola

Vectors Vector Product

Vertex Form

Propositional Equivalences Gate Overflow

Chapter 1 Maths 3

Solve For X P X Q Q X P 2 X Not Equal P Q Brainly In

The Construction For Conp Hardness Of Union Freedom Xp 2 The Download Scientific Diagram

X Pap Xx Q 19 9 A X P X Q X P Q B X P X 2 X P Q C X P

Show That F X Det X P Qp X Qq Q X X P
If The Roots Of Math Frac 1 X P Frac 1 X Q Frac 1 R Math Are Equal In Magnitude But Opposite In Sign How Can I Show That Math P Q 2r Math And The Product Of Roots Is
What Will Be The Value Of P And Q For X 2 2x 5 To Be A Factor Of X 4 Px 2 Q Quora

The Equation Of One Of The Line Represented By The Equatio Pq Y2 P2 Q Xy 0 Is A Px Qy 0 B Px Y 0 C P X Qy 0 D Q X P Y 0
Library E Abb Com Public 4fadb1f3feeedffa c Mitteilungen 1974 E 11 Pdf X Sign Sbi1nixeukdoanpyamv5km0kwa Jt0 Yodbyi0ytmgrwj6km4ms9ateovq3q6fia

Figure 1 From Improving Legibility Of Natural Deduction Proofs Is Not Trivial Semantic Scholar

7 8 If A A B C B X Y Find A X B B Xa A X A B Xb If P 1 2 3 Q 1 4 Find Px Q Q Xp P X P Q Xq

Converting From Ax 2 Bx C To A X P 2 Q Youtube
2

If Math Alpha Math And Math Beta Math Are The Roots Of The Equation Math X 2 P X 1 Q 0 Math Then What Is The Value Of Math Frac Alpha 2 2 Alpha 1 Alpha 2 2 Alpha Q Frac Beta 2 2 Beta 1 Beta 2 2 Beta Q Math Quora

Chapter 1 Maths 3
2

The Cyclotomic Polynomials Pdf Free Download
/asSF.jpg)
Axis Of Symmetry Parabola
2

7 8 If A A B C B X Y Find A X

How Do You Graph A Quadratic Equation In Intercept Form Printable Summary Virtual Nerd

Q10x Palpx Q Is Equal To Pa A A X P X 2 X P 9 B X P