2x+132 X 122

4 Eso B Tema 02 By Sergio Cuevas Hidalgo Issuu
If F X X 2 2x 3 Find X If F X F 2x 1 Quora

How Do You Integrate 2x 1 X 1 X 2 X 3 Using Partial Fractions Socratic

How To Automatically Provide A Blank Space After A Question Based On The Solution Size Tex Latex Stack Exchange
Integrate 2x 1 X 1 X 2 X 3 Dx Studyrankersonline
2
#3.3.1 The Square Root Principle says that When two things are equal, their square roots are equal.

2x+132 x 122. X-(1/2) = √-7/4 Add 1/2 to both sides to obtain:. Buuuut then you had some questions about the quant section—specifically question 18 of Section 6 of Practice Test 1. (i) 1/2𝑥 + 1/3𝑦 = 2 1/3𝑥 + 1/2𝑦 = 13/6 1/2𝑥 + 1/3𝑦 = 2 1/3𝑥 + 1/2𝑦 = 13/6 Let 1/𝑥 = u 1/𝑦 = v So, our equations become 1/2 u + 1/3 v = 2 (3𝑢 + 2𝑣)/(2 × 3) = 2.
X 2-(1/2)x = 1/2 Now the clever bit:. X^4 + x^3 + 2x^2 + 3x^3 + 3x^2 + 6x + x^2 + x + 2. Multiply by by adding the exponents.
X^4 - 10x^3 + 35x^2 - 18x^2 + 90x - 50x + 24 - 108 = 0. Equivalent Fractions,Least Common Denominator, Reducing (Simplifying) Fractions Tiger Algebra Solver. We'll substitute the factor 1 by the equivalent log_10 (10).
Check how easy it is, and learn it for the future. For math, science, nutrition, history, geography, engineering, mathematics, linguistics, sports, finance, music… Wolfram|Alpha brings expert-level knowledge and. Please explain the steps one by one what are you doing not just solve it , please!.
For math, science, nutrition, history. 2x-3/x+1=2-3x-1/x+1 => 2x-3/x+1-2+3x+1/x-1=0. Our solution is simple, and easy to understand, so don`t hesitate to use it as a solution of your homework.
Raise to the power of. Compute answers using Wolfram's breakthrough technology & knowledgebase, relied on by millions of students & professionals. X^4 + 4x^3 + 6x^2 + 7x + 2 (ANSWER).
Then combine like terms:. For math, science, nutrition, history, geography, engineering, mathematics, linguistics, sports, finance, music… Wolfram|Alpha brings expert-level knowledge and. Ex 3.6, 1 Solve the following pairs of equations by reducing them to a pair of linear equations:.
Both i and -i are the square roots of -1 Since a square root has two values, one positive and the other negative x 2 - x + 2 = 0. Now collect like terms. Solution for 8x-3=2(x-1/2) equation:.
Tap for more steps. The given eqution is math2^{x+1} = 3^{1-x}/math Taking log base 2 on both sides math (x+1)\log_2(2)= (1-x)\log_2(3)/math mathx+1 = \log_2(3) -x.\log_2(3. Solve for x 2/x-3/2=7/(2x) Add to both sides of the equation.
Let's solve the problem trying another approach. 4.9 () Jodi M. X^4 - 10x^3 + 17x^2 + 40x - 84 = 0 (x - 7)(x - 3)(x - 2)(x + 2) = 0.
Answered February 17, 18. Tap for more steps. Tap for more steps.
Solve for x 3(x-2)=2(2x-3) Simplify. 698 views · View 1 Upvoter. But because this is a quadratic x equatation, there exist a second answer.
X1 − 3x2 − 2x3 + x4 = −4, −2x1 + 7x2 + x3 − 2x4 = −2, 3x1 − 7x2 − 3x3 + 3x4 = −5 ,5x1 + x2 + 4x3 − 2x4 =. Compute answers using Wolfram's breakthrough technology & knowledgebase, relied on by millions of students & professionals. Solutions to this equation are given by:.
Tap for more steps. Simple and best practice solution for 2(2x-1)=3(x-2) equation. Find an answer to your question factorize (2x+1/3)^2-(x-1/2)^2 बिचावा कंसीक्वेंस कॉमन 19 नवंबर को 1315 473 541 फर्स्ट नेगेटिव टाइम What number should be placed in the box to help complete the division calculation?.
Finding the LCD of a list of values is the same as finding the LCM of the denominators of those values. Solve for x 2^(x-1)=10 Take the natural logarithm of both sides of the equation to remove the variable from the exponent. Replace the variable with in the expression.
Since contain both numbers and variables, there are two steps to find the LCM. Find the properties of the given parabola. Our solution is simple, and easy to understand, so don`t hesitate to use it as a solution of your homework.
Tap for more steps. Take the coefficient of x , which is 1/2 , divide by two, giving 1/4 , and finally square it giving 1/16. Find the LCD of the terms in the equation.
Please leave a comment if this has. Find an online tutor. For math, science, nutrition, history.
1 / 2 - 27 / 8 = 1 · 4 / 2 · 4 - 27 / 8 = 4 / 8 - 27 / 8 = 4 - 27 / 8 = -23 / 8 For adding, subtracting, and comparing fractions, it is suitable to adjust both fractions to a common (equal, identical) denominator. Therefore, the second integral is equivalent to -1/4(int1/(x + 1) - 10/(x + 1)^2)dx This can be integrated as -1/4ln|x + 1| - 5/(2(x + 1)) The other part of the integral is equal to 1/4ln|x - 1|. 5.0 (1) See more tutors.
At the same time distribute the 2 into the (2x+2) to get 2(2x) and 2(2) rewrite the equation. It can be shown using polar coordinates that the slope of the graph as it passes through the origin (twice !) is +1 and -1. Tap for more steps.
Free inequality calculator - solve linear, quadratic and absolute value inequalities step-by-step. Solve your math problems using our free math solver with step-by-step solutions. Tap for more steps.
Find , the distance from the vertex to the focus. Use the vertex form, , to determine the values of , , and. This is true only is 5x 2-2x-2=0;.
First distribute the polynomials to simplify:. Learn with Tiger how to do 3/2x-2+1/2=2/x-1 fractions in a clear and easy way :. Why is the space complexity of DFS=b*m+1?.
I think it should be-:?. 6x^2 - 42x + 72 + 6x^2 - 30x + 24 + 6x^2 - 18x + 12 = (x^2 - 3x + 2)(x^2 - 7x + 12) 18x^2 - 90x + 108 = x^4 - 3x^3 - 7x^3 + 12x^2 + 2x^2 + 21x^2 - 14x - 36x + 24. Those questions testing … Continue reading "If (x + 2)(x – 3) = 0 and x > 1/2, what is the value of x^-2".
3x4 = 12 =2/12 =1/6. Compute answers using Wolfram's breakthrough technology & knowledgebase, relied on by millions of students & professionals. Graph f(x)=(x-2)(-x-3)(x+1) Find the point at.
Hope that helps xxx. Free equations calculator - solve linear, quadratic, polynomial, radical, exponential and logarithmic equations with all the steps. Tap for more steps.
It satisfies i 2 =-1. Type in any equation to get the solution, steps and graph. Get an answer for 'solve for x if x^3 +x^2 +x +1 = 0' and find homework help for other Math questions at eNotes.
Since the value of is negative, the parabola opens down. X 2-(1/2)x-(1/2) = 0 Add 1/2 to both side of the equation :. 270 views · View 1 Upvoter.
2^x+1 = 3^x-1 2. 4.2 Solving 2x 2-x-1 = 0 by Completing The Square. Tap for more steps.
How do i solve these?. We have (x + 1)/2 + 2/(x + 1) = (x + 1)/3 + 3/(x + 1) -5/6 Or, (x + 1)/2 -(x + 1)/3 + 2/(x + 1) - 3/(x + 1) = -5/6 Or, (x + 1)/6 - 1/(x + 1) = -5/6 Or, (x + 1)/6 - 1. Returning to (**), we next have that 1 - x 2-y 2 = 0 , or y 2 = 1 - x 2.
Subscribe to our mailing list. (x-(1/2)) 1 = x-(1/2) Now, applying the Square Root Principle to Eq. 1/6 + 1/2 = 2/3.
5x-2/x-2=0 Now let us have common denominator in the expression on the left side. Simple and best practice solution for 3(2x+1)+2(X+3)= equation. Apply the distributive property.
See http://www.helpudomaths.co.uk for more videos on equations with fractions. F(x-1) = 2x+3 f(x-1) = 2(x-1)+2+3 f(x-1) = 2(x-1)+5 Therefore f(x) = 2x+5 ,Answer. Solve the system by using the Gauss-Jordan Method.
8x-3=2(x-1/2) We simplify the equation to the form, which is simple to understand 8x-3=2(x-1/2) Simplifying:. After simple calculations, we obtain:. Move all terms containing to the left side of the equation.
Check how easy it is, and learn it for the future. Our math solver supports basic math, pre-algebra, algebra, trigonometry, calculus and more. Substitute this into the original equation (x 2 +y 2) 2 = 2x 2-2y 2, getting.
The common denominator you can calculate as the least common multiple of the both denominators - LCM(2, 8) = 8. Example 13 Find ∫1 (3𝑥 −2)/((𝑥 + 1)^2 (𝑥 + 3) ) 𝑑𝑥 We can write Integral as (3𝑥 − 2)/((𝑥 + 1)^2 (𝑥 + 3) )=𝐴/(𝑥 + 1) + 𝐵/(𝑥. The Factor Theorem states that if P/Q is root of a polynomial then this polynomial can be divided by q*x-p Note that q and p originate from P/Q reduced to its lowest terms In our case this means that x 3 +x 2-2 can be divided with x-1.
Expand by moving outside the logarithm. (x-1) 2 Things which are equal to the same thing are also equal to one another. 8x-3=2*(x-0.5) Reorder the terms in parentheses 8x-3=+(+2x-1) Remove unnecessary parentheses +8x-3=+2x-1 We move all terms containing x to the left and all other terms to the right.
(4^x)(3^2x+1) = 6^x+1 find x in both please solve best answer points!!!. 5 (138) Nicholas R. X_1 - x_2 + 2x_3 - x_4 = -1, 2x_1 + x_2 - 2x_3 - 2x_4 = -2, -x_1 + 2 x_2 - 4x_3 + x_4.
X = 7, 3, -2 or 2. I need help trying to sole tan^2 x =1 where x is more than or equal to 0 but x is less than or equal to pi. Apply the distributive property.
Note that the square root of (x. X = 1/2 + √-7/4 In Math, i is called the imaginary unit. Divide both sides of the equation by 2 to have 1 as the coefficient of the first term :.
HOw d you factor 4x^3-98x^2+5x-750 without using derivatives (this is just a highschool course)?. Putting all of this together, we have 1/4ln|x - 1| - 1/4ln|x + 1| - 5/(2(x + 1))+ C By laws of logarithms, we have 1/4ln|(x - 1)/(x +1)| -5/(2(x + 1. Compute answers using Wolfram's breakthrough technology & knowledgebase, relied on by millions of students & professionals.
Solve the equation 2/3 x - 1/4 = 3x + 1/2. First, we'll write the value 2 from the right side as it follows:-2 = -2*1. Will anyone inbox me.
Join a community with 26,970,008 solved equations.

Math Solutions To Practice Final Exam X 2 X 2 X 2 X 3 X 2 X 2 X 2 5x 6 4 Pdf Free Download

7x 1 4 2x 1 X 2 3 19 3 Scholr

Polynomial Functions
Http Www Math Sc Edu Girardi M142 Integration Answers Pdf

Aim How Do We Multiply Polynomials Do Now Multiply The Following 1 2x 3x 1 2 X 1 X 2 3 X 2 X 2 3x 1 Ppt Download
Q Tbn 3aand9gcrixojurqup9lk6wbiqccdlx3v8eo1g4a2y4gfl2xjzdcwg1hoi Usqp Cau
2
Solved 2 X 4 3 X 9 X 3 2 5 2 X 2 1 3 Chegg Com

What Is X In This Statement 1 4 3x 16 1 4x 5 1 3
Q Tbn 3aand9gctv Mynigrtqy4f5kka3dlxusmd5nvrz4q2nbsnkdzgecafxtta Usqp Cau

Algebra Calculator Tutorial Mathpapa

Ex 3 6 1 I And Ii Solve 1 2x 1 3y 2 1 3x 1 2y

Solution Simplify The Following Equation 5x 2x 2 7x 3 X
Solved 2 5x 3 1 5 2x 1 1 2 2x 1 1 4 8x 2 Chegg Com
Www Hoodriver K12 Or Us Cms Lib06 Or Centricity Domain 230 6 final exam pt 2 answer key 16 17 ap Calculusab Practice Exam Pdf
2
Cpb Us E1 Wpmucdn Com Cobblearning Net Dist 0 6 Files 17 10 Midterm Review 1 Answers 13m0185 Pdf

Integrate 2x 3 3x 2 4x 5 Dx 2x 1 Math Integrals Meritnation Com
Http Www Orleanspark School Force Download Cfm Id
2
If X 1 2x 1 2x 1 X 1 2 What Is X Quora

Answers To The Review Problems For The First Exam 251 05 10 In Spring 06

Graph Inequalities With Step By Step Math Problem Solver

Ppt Solve Log 2 2 X 1 Log 2 X 2 Powerpoint Presentation Free Download Id
Cbse 10 Math Cbse Arithmetic Progression Ncert Solutions
R D Sharma Solutions Class 10th Ch 3 Pair Of Linear Equations In Two Variables Exercise 3 3
2
2

Maximum Value Of Function F X Frac X 4 X 2 X 6 2x 3 1 When X 1 Mathematics Stack Exchange

Math 0308 Final Exam Review Answers

Graph Equations With Step By Step Math Problem Solver
Q Tbn 3aand9gcq7n2zh0iglbhq3hdacw95mc0ftjnulh3xjxnh7lhcc5iyvdlh5 Usqp Cau

How Do You Integrate Int 3x 2 15x 23 2x 1 X 2 2 Using Partial Fractions Homeworklib

Ml Aggarwal Solutions For Class 10 Maths Chapter 6 Factorization Access Free Pdf

Solved 2x 1 3 X 1 2 Factorize Brainly In
Questions G9 10 Slope Equations
Simplify X 3 2x 1 X X 5

I X 1 2 3 Iii 2 X 1 1 X 3 P 2x 1 X

Find X For The Terms X 3 X 1 And 4x 2 In Geometric Sequence Youtube

Class 9 Polynomial 2 Coordinate Geometry Linear Equation In Two Variables Euclid S Geometry Lines And Angles Notes

Paradox 1 1 2 1 3 1 4 0 The Simpsons And Their Mathematical Secrets

Solve For X 2x 3 3x 1 3 2 Scholr

Solved 1 Simplify A B Xh 2 3 X H X2 3x X 3 4 2x Chegg Com

4 2x 1 2 X 5 5 X 1 3
2

Factorise 2x 1 3 2 X 5 3 2 Brainly In

Ml Aggarwal Solutions For Class 10 Chapter 5 Quadratic Equations In One Variable Free Pdf Available

Review Of Solving Algebraic Equations
2

Lesson 1 1 Pages 5 11 State The Domain And Range Of Each Relation Then State Whether The Relation Is A Function Write Yes Or No Pdf Free Download

Ex 4 1 1 Class 10 Check Whether Following Are Quadratic Equations

Answered 3x2 X 1 A Lim 1 5x 2x2 1 2 Bartleby

Wolfram Alpha Examples Step By Step Solutions
Solve The Given Inequality For Real X 2x 1 3 3x 2 4 2 X 5 Sarthaks Econnect Largest Online Education Community

Find The Lcm And The Hcf Of The Polynomials X 2 1 X 2 X 2 And X 2 2x 1 X 2 2x 3 5 Ver Youtube

Answered From T 0 To T 2 12 What Is The Bartleby

How To Do This Question X 3 1 2 Find Value Of 4x 3 2x 2 8x 7 Mathematics Topperlearning Com 4r5prjll
Solve For X 2 X 1 3 2 X 2 23 5x X 0 1 2 Sarthaks Econnect Largest Online Education Community

Selina Concise Mathematics Class 10 Icse Solutions Remainder And Factor Theorems A Plus Topper

18 G11 Math E Flip Book Pages 1 250 Pubhtml5

42 X 1 2 X 1 3 Is Equal To 1 2x X2 3 2 X 3 3 X2 2x 1 4 X 1 X2 3

Class 9 Polynomial 2 Coordinate Geometry Linear Equation In Two Variables Euclid S Geometry Lines And Angles Notes

Bellwork Graph Each Line 1 3x Y 6 2 Y 1 2 X 3 Y Ppt Video Online Download

F X 3 Find The Numerical Value Of

Ex 6 1 16 Solve 2x 1 3 3x 2 4 2 X 5
2

15 7 Limit Of An Absolute Value Function Graphing Calculator By Mathlab User Manual
2

Geneseo Math 222 01 Integration By Parts 2

Solve The Given Inequality For Real X 2x 1 3 3x 2 4 2 X 5 Mathematics Shaalaa Com

Ecuaciones Exponenciales 1 By Apolinar Pancho Espinar Issuu

Pdf Limites Resueltos Migue Pena Odilon Academia Edu
Http Perrylocal Org Olszewskid Files 15 09 Cat Hw 1 5 Pdf

Solving Polynomial Equations Answers

Inverse Of Quadratic Function Chilimath

Notes On Topics Of Algebra Notes
2

3 2 A 4 0 Quad A 2 2 1 Solve The Following Equations Begin Array Ll Text 1 17 P 2 49 Text 2 2 M 7 9 Text 4 5 X 3 3 X 2 Text 5
Solution How Would I Graph The Equation Y 2x 1 Also How Would I Graph Y Greater Than Or Equal To 3 5x 2

Selina Concise Mathematics Class 10 Icse Solutions Remainder And Factor Theorems A Plus Topper

How Solve Complicated Logarithm Socratic
Q Tbn 3aand9gcqfq2vih Y8v21mv0wsmsn0orjvc5ky3harttm3evtveku4mhhr Usqp Cau

Factorise 2x 1 3 X 1 2 Brainly In

2 I Let X 1 2 3 4 Y 1 2 10 And F X 2x 1 Xe X Find The Range Of F

If It Was X 2 2x 1 X 2 Then How Would You Do It I Let P X 2x2 X Math Polynomials Meritnation Com

2x 1 3 4x 1 2 3x 5 5 19 10 Mathematics Topperlearning Com J7vy2vrr

Vectors And The Geometry Of Space Monografias Com
Solved X 3 2 2x 1 2 X1 2 X 1 7 2 X 1 3 2 X Chegg Com

Habilidades Logico Matematicas Pagina 3 Monografias Com
2

Math Basic Maths 3 2 2 3 5 Solve The Following Linear Equations And Verify Your Answers 63 X 7 18 Ci 2 X 1 Kunduz

Factorise 2x 1 3 3 X 1 2 2 Brainly In

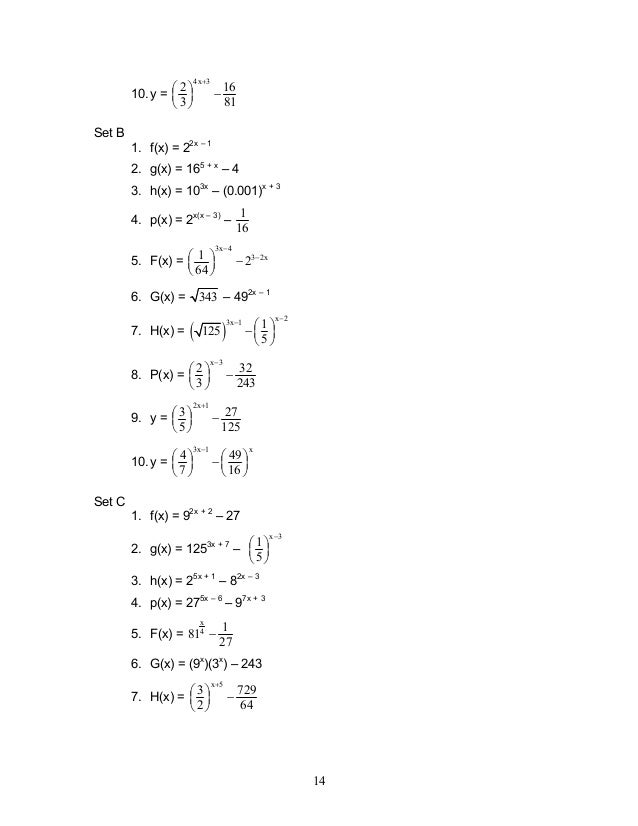
Module 2 Exponential Functions

Module 2 Exponential Functions

Introductory Mathematical Analysis Textbook Solution Manual

If F X 2x 1 If X Gt 1 And X 2 1 If 1 Lt X Lt 1 And If F 1 F 3 F X F 2 F Youtube
Solve The Equation 6 X2 1 X2 25 X 1 X 12 0 Studyrankersonline

Factorise 2x 1 3 2 X 1 2 2 Brainly In